Счетчики электрической энергии многофункциональные ПСЧ-4ТМ.05МКТ
| Номер в ГРСИ РФ: | 75459-19 |
|---|---|
| Категория: | Счетчики электроэнергии |
| Производитель / заявитель: | ООО "ТехноЭнерго", г.Нижний Новгород |
Счетчики предназначены для измерения и учета в двух направлениях активной и реактивной энергии (в том числе и с учетом потерь), ведения массивов профиля мощности нагрузки с программируемым временем интегрирования (в том числе и с учетом потерь), фиксации максимумов мощности, измерения параметров сети и параметров качества электрической энергии в трехфазных сетях переменного тока.
Информация по Госреестру
| Основные данные | |
|---|---|
| Номер по Госреестру | 75459-19 |
| Действует | по 02.07.2029 |
| Наименование | Счетчики электрической энергии многофункциональные |
| Модель | ПСЧ-4ТМ.05МКТ |
| Характер производства | Серийное |
| Идентификатор записи ФИФ ОЕИ | dc390318-08d8-b22a-b7f5-ed7e347c3bce |
Производитель / Заявитель
Общество с ограниченной ответственностью "ТехноЭнерго" (ООО "ТехноЭнерго"), г. Нижний Новгород
РОССИЯ
Поверка
| Межповерочный интервал / Периодичность поверки |
16 лет
для кл. т. 1
10 лет
для кл. т. 0,5S
|
| Зарегистрировано поверок |
2434
|
| Найдено поверителей | |
| Успешных поверок (СИ пригодно) | 2433 (100%) |
| Неуспешных поверок (СИ непригодно) | 1 (0 %) |
| Актуальность информации | 24.05.2026 |
Поверители
Скачать
|
75459-19: Описание типа
2024-75459-19.pdf
|
Скачать | 327.9 КБ | |
|
75459-19: Методика поверки
2019-mp75459-19.pdf
|
Скачать | 1.2 MБ |
Описание типа
Назначение
Счетчики предназначены для измерения и учета в двух направлениях активной и реактивной энергии (в том числе и с учетом потерь), ведения массивов профиля мощности нагрузки с программируемым временем интегрирования (в том числе и с учетом потерь), фиксации максимумов мощности, измерения параметров сети и параметров качества электрической энергии в трехфазных сетях переменного тока.
Описание
Принцип действия счетчиков электрической энергии многофункциональных ПСЧ-4ТМ.05МКТ основан на цифровой обработке входных аналоговых сигналов. Управление процессом измерения и всеми функциональными узлами счетчика осуществляется высокопроизводительным микроконтроллером (МК), который реализует измерительные и управляющие алгоритмы в соответствии со специализированной программой, помещенной в его внутреннюю память программ. Управление узлами производится через аппаратно-программные интерфейсы, реализованные на портах ввода/вывода МК.
Измерительная часть счетчиков выполнена на основе многоканального аналогоцифрового преобразователя (АЦП), встроенного в микроконтроллер. АЦП осуществляет выборки мгновенных значений величин напряжения и тока параллельно по шести аналоговым каналам. Микроконтроллер по выборкам мгновенных значений напряжения и тока производит вычисление средних за период сети значений частоты, напряжения, тока, активной и полной мощности, активной и реактивной мощности потерь в каждой фазе сети, производит их коррекцию по амплитуде, фазе и температуре.
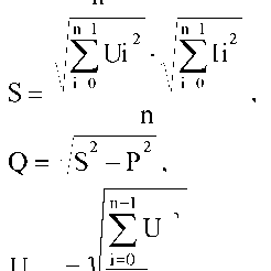
Вычисления средних за период сети значений мощностей и среднеквадратических значений напряжений и токов в каждой фазе производится по следующим формулам:
n-1
Z Ui • li
|
для активной мощности для полной мощности для реактивной мощности для напряжения |
P -250-------, (1) n I n-1 „ 1 n-1 „ Ji Ui2dx ii2 S = bs-----liS---, (2) n Q = aS2 - P2 , (3) n-1 Z Ui2 U скз =1 252-----, (4) |
n
для тока
I скз
n-1
E Ii2
i=0
(5)
где Ui, Ii - выборки мгновенных значений напряжения и тока;
n - число выборок за период сети.
Вычисление активной и реактивной мощности потерь за период сети в каждой фазе производится по следующим формулам:
где I
U
Pn
Qn
• P
A П.Л.НОМ
(I ^2
— • Qn™
k IH J
(I ^2
— • Рп.н.ном
k IH J
.P
A п.хх.ном ,
(I ^2
— • Qn.H.HOM
k IH J
4
U
k U H J
Qn.XX.HOM ,
- cpegHeKBagpamu4ecKoe 3Ha4eHue тока за период сети (5);
- cpegHeKBagpamu4ecKoe 3Ha4eHue фазного напряжения (4);
Рп.л-hom - номинальная активная мощность потерь в линии электропередачи;
Pn.H.HOM - номинальная активная мощность нагрузочных потерь в
трансформаторе;
Рп.хх.ном - номинальная активная мощность потерь холостого хода в
(6)
(7)
силовом
силовом
трансформаторе;
Рп.л.ном - номинальная реактивная мощность потерь в линии электропередачи;
Рп.н.ном - номинальная реактивная мощность нагрузочных потерь в силовом трансформаторе;
Рп.хх.ном - номинальная реактивная мощность потерь холостого хода в силовом трансформаторе;
Номинальные мощности потерь вводятся в счетчик как конфигурационные параметры и представляют собой мощность потерь в одной фазе, приведенную к входу счетчика при номинальном токе и напряжении счетчика.
Счетчики являются двунаправленными измерителями и измеряют проекции вектора полной мощности на активную и реактивную оси круга мощностей. При этом образуются четыре канала измерения и учета активной и реактивной мощности прямого и обратного направления.
Знаки однофазных измерений активной и реактивной мощности всегда соответствуют реальному направлению потока мощности в каждой фазе сети. При этом:
- прямому направлению (от генератора) активной энергии А+ (мощности P+) соответствует фазовый сдвиг между током и напряжением в каждой фазе от 0° до 90° (1-й квадрант, индуктивная нагрузка, импорт) и от 270° до 360° (4-й квадрант, емкостная нагрузка, импорт);
- обратному направлению (к генератору) активной энергии А- (мощности P-) соответствует фазовый сдвиг между током и напряжением в каждой фазе от 180° до 270° (3-й квадрант, индуктивная нагрузка, экспорт) и от 90° до 180° (2-й квадрант, емкостная нагрузка, экспорт);
- прямому направлению (от генератора) реактивной энергии R+ (мощности Q+) соответствует фазовый сдвиг между током и напряжением в каждой фазе от 0° до 180° (импорт);
- обратному направлению (к генератору) реактивной энергии R- (мощности Q-) соответствует фазовый сдвиг между током и напряжением в каждой фазе от 180° до 360° (экспорт).
Вычисление средних за период сети мощностей трехфазной системы производится суммированием соответствующих мощностей однофазных измерений. Знаки трехфазных измерений мощности и знаки каналов учета трехфазной энергии формируются по-разному, в зависимости от конфигурации счетчика.
Различаются следующие режимы работы счетчика в зависимости от конфигурации:
- двунаправленный режим измерения активной и реактивной энергии и мощности, 4 канала (режим по умолчанию);
- однонаправленный режим измерения активной и реактивной энергии и мощности (по модулю) 3 канала в прямом направлении (конфигурируемый);
- двунаправленный реверсный режим измерения активной и реактивной энергии и мощности, 4 канала (конфигурируемый);
- однонаправленный реверсный режим измерения активной и реактивной энергии и мощности (по модулю) в обратном направлении (конфигурируемый).
В таблицах 1-4 приведены знаки направления активной и реактивной мощности однофазных и трехфазных измерений и каналы учета энергии в зависимости от положения вектора полной мощности и конфигурирования счетчика.
Таблица 1 - Знаки мощностей однофазных и трехфазных измерений в двунаправленном режиме
|
Двунаправленный режим (4 канала) | ||||||||
|
Квадрант вектора полной мощности S |
Канал учета энергии трехфазных измерений |
Знак мощности трехфазных измерений |
Знак мощности однофазных измерений |
Каналы телеметрии | ||||
|
актив. |
реактив. |
актив. |
реактив. |
актив. |
реактив. |
актив. |
реактив. | |
|
I |
А+ |
R+ |
P+ |
Q+ |
P+ |
Q+ |
имп. А+ |
имп. R+ |
|
II |
А- |
R+ |
P- |
Q+ |
P- |
Q+ |
имп. А- |
имп. R+ |
|
III |
А- |
R- |
P- |
Q- |
P- |
Q- |
имп. А- |
имп. R- |
|
IV |
А+ |
R- |
P+ |
Q- |
P+ |
Q- |
имп. А+ |
имп. R- |
Таблица 2 - Знаки мощностей однофазных и трехфазных измерений в однонаправленном
режиме
|
Однонаправленный режим (3 канала учета по модулю в прямом направлении) | ||||||||
|
Квадрант вектора полной мощности S |
Канал учета энергии трехфазных измерений |
Знак мощности трехфазных измерений |
Знак мощности однофазных измерений |
Каналы телеметрии | ||||
|
актив. |
реактив. |
актив. |
реактив. |
актив. |
реактив. |
актив. |
реактив. | |
|
I |
А+ |
R+ |
P+ |
Q+ |
P+ |
Q+ |
имп. А+ |
имп. R+ |
|
II |
А+ |
R- |
P+ |
Q- |
P- |
Q+ |
имп. А+ |
имп. R- |
|
III |
А+ |
R+ |
P+ |
Q+ |
P- |
Q- |
имп. А+ |
имп. R+ |
|
IV |
А+ |
R- |
P+ |
Q- |
P+ |
Q- |
имп. А+ |
имп. R- |
Таблица 3 - Знаки мощностей однофазных и трехфазных измерений в реверсном
двунаправленном режиме
|
Реверсный двунаправленный режим (4 канала учета с инверсией знака направления) | ||||||||
|
Квадрант вектора полной мощности S |
Канал учета энергии трехфазных измерений |
Знак мощности трехфазных измерений |
Знак мощности однофазных измерений |
Каналы телеметрии | ||||
|
актив. |
реактив. |
актив. |
реактив. |
актив. |
реактив. |
актив. |
реактив. | |
|
I |
А- |
R- |
P- |
Q- |
P+ |
Q+ |
имп. А- |
имп. R- |
|
II |
А+ |
R- |
P+ |
Q- |
P- |
Q+ |
имп. А+ |
имп. R- |
|
III |
А+ |
R+ |
P+ |
Q+ |
P- |
Q- |
имп. А+ |
имп. R+ |
|
IV |
А- |
R+ |
P- |
Q+ |
P+ |
Q- |
имп. А- |
имп. R+ |
Таблица 4 - Знаки мощностей однофазных и трехфазных измерений в реверсном
однонаправленном режиме
|
Реверсный однонаправленный режим (3 канала учета по модулю в обратном направлении) | ||||||||
|
Квадрант вектора полной мощности S |
Канал учета энергии трехфазных измерений |
Знак мощности трехфазных измерений |
Знак мощности однофазных измерений |
Каналы телеметрии | ||||
|
актив. |
реактив. |
актив. |
реактив. |
актив. |
реактив. |
актив. |
реактив. | |
|
I |
А- |
R- |
P- |
Q- |
P+ |
Q+ |
имп. А- |
имп. R- |
|
II |
А- |
R+ |
P- |
Q+ |
P- |
Q+ |
имп. А- |
имп. R+ |
|
III |
А- |
R- |
P- |
Q- |
P- |
Q- |
имп. А- |
имп. R- |
|
IV |
А- |
R+ |
P- |
Q+ |
P+ |
Q- |
имп. А- |
имп. R+ |
По полученным за период сети значениям активной и реактивной мощности трехфазной системы формируются импульсы телеметрии на двух конфигурируемых испытательных выходах счетчика. Сформированные импульсы подсчитываются контроллером и сохраняются в регистрах текущих значений энергии и профиля мощности по каждому виду энергии (мощности) и направлению до свершения события. По свершению события, текущие значения энергии или мощности добавляются в соответствующие энергонезависимые регистры учета энергии и массивы профиля мощности. При этом в качестве события выступает время окончания текущего тарифа или время окончания интервала интегрирования мощности для массива профиля, определяемое по встроенным энергонезависимым часам реального времени.
При учете потерь импульсы телеметрии формируются с учетом мощности потерь (P±Pn формулы (1), (6), Q±Qn формулы (3), (7)), подсчитываются контроллером и отдельно сохраняются в регистрах текущих значений энергии и профиля мощности с учетом потерь по каждому виду энергии (мощности) и направлению до свершения события. Знак учета потерь является конфигурационным параметром счетчика и зависит от расположения точки учета и точки измерения.
Счетчики выпускаются в различных модификациях, которые отличаются номинальным (базовым) током, номинальным напряжением, наличием резервного блока питания, способом подключения к электрической сети и типом установленного дополнительного интерфейсного модуля. Варианты исполнения счетчиков приведены в таблице 5. Варианты исполнения дополнительных интерфейсных модулей приведены в таблице 6.
Таблица 5 - Варианты исполнения счетчиков
|
Условное обозначение счетчика |
Номинальный, базовый (максимальный) ток, А |
Номинальное напряжение, В |
Класс точности по учету активной/ реактивной энергии |
Наличие резервного блока питания |
Вариант исполнения |
|
Счетчики трансформато |
рного включения | ||||
|
ПСЧ-4ТМ.05МКТ.00 |
5(10) |
3х(57,7-115)/ (100-200) |
0,5S/1 |
есть |
ФРДС.411152.002 |
|
ПСЧ-4ТМ.05МКТ.01 |
5(10) |
нет |
-01 | ||
|
ПСЧ-4ТМ.05МКТ.02 |
1(2) |
есть |
-02 | ||
|
ПСЧ-4ТМ.05МКТ.03 |
1(2) |
нет |
-03 | ||
|
ПСЧ-4ТМ.05МКТ.04 |
5(10) |
3х (120-230)/ (208-400) |
есть |
-04 | |
|
ПСЧ-4ТМ.05МКТ.05 |
5(10) |
нет |
-05 | ||
|
ПСЧ-4ТМ.05МКТ.06 |
1(2) |
есть |
-06 | ||
|
ПСЧ-4ТМ.05МКТ.07 |
1(2) |
нет |
-07 | ||
П Продолжение таблицы 5
|
Условное обозначение счетчика |
Номинальный, базовый (максимальный) ток, А |
Номинальное напряжение, В |
Класс точности по учету активной/ реактивной энергии |
Наличие резервного блока питания |
Вариант исполнения |
|
Счетчики непосредственного включения | |||||
|
ПСЧ-4ТМ.05МКТ.20 |
5(100) |
3х(120-230)/ (208-400) |
1/2 |
есть |
-20 |
|
НСЧ-4ТМ.05МКТ.21 |
5(100) |
нет |
-21 | ||
аблица 6 - Типы устанавливаемых дополнительных интерфейсных модулей
|
Условное обозначение модуля |
Наименование |
|
01 |
Коммуникатор GSM ТЕ101.02.01, С-1.02.01 (сеть 2G) |
|
02 |
Модем PLC М-2.01.01(Т) (однофазный) |
|
03 |
Модем PLC М-2.01.02(Т) (трехфазный) |
|
04 |
Коммуникатор 3G ТЕ101.03.01, С-1.03.01 (сеть 2G+3G) |
|
05 |
Модем Ethernet M-3.01.ZZ(T) |
|
06 |
Модем ISM M-4.01.ZZ(T) (430 МГц) |
|
07 |
Модем ISM M-4.02.ZZ(T) (860 МГц) |
|
08 |
Модем ISM M-4.03.ZZ(T) (2400 МГц) |
|
09 |
Модем оптический M-5.01.ZZ(T) |
|
10 |
Коммуникатор Wi-Fi TE102.01.ZZ, C-2.01.ZZ |
|
11 |
Коммуникатор 4G TE101.04.01, С-1.03.01 (сеть 2G+3G+4G) |
|
12 |
Коммуникатор 4G TE101.04.01/1, С-1.04.01/1 (сеть 2G+4G) |
|
13 |
Коммуникатор NBIoT TE101.01.01 (сеть 2G+4G NBIoT) |
|
14 |
Коммуникатор NBIoT TE101.01.01/1 (сеть 4G только NBIoT) |
|
15 |
Модем LoRaWAN M-6.ZZ.ZZ(T) |
|
16 |
Модем Bluetooth M-7.ZZ.ZZ(T) |
|
Примечания 1 ZZ - вариант исполнения интерфейсного модуля 2 В счетчики могут устанавливаться дополнительные интерфейсные модули, не приведенные в таблице 6 со следующими характеристиками: - при питании от внутреннего источника счетчика с напряжением 6 В потребляемый ток не должен превышать 400 мА; - при питании от внешнего источника величина напряжения изоляции цепей интерфейса RS-485 модуля от цепей электропитания должна быть 4000 В (среднеквадратическое значение в течение 1 минуты). | |
Запись счетчика при его заказе и в конструкторской документации другой продукции должна состоять: из наименования счетчика, условного обозначения варианта исполнения счетчика, условного обозначения типа устанавливаемого дополнительного интерфейсного модуля и номера технических условий.
Пример записи счётчика - «Счётчик электрической энергии многофункциональный HC4-4TM.O5MKT.XX.YY ФРДС.411152.002ТУ», где:
- XX - условное обозначение вариант исполнения счетчика в соответствии с таблицей 5;
- YY - условное обозначение типа устанавливаемого дополнительного интерфейсного модуля в соответствии с таблицей 6.
Если в счетчик не устанавливается дополнительный интерфейсный модуль, то поле YY должно оставаться пустым.
Счетчик может поставляться с прозрачной крышкой зажимов, о чем в явном виде указывается в заказе. Например: «Счётчик электрической энергии многофункциональный ПСЧ-4ТМ.05МКТ.04.01 ФРДС.411152.002ТУ с прозрачной крышкой зажимов».
Подключение счетчиков трансформаторного включения к сети производится через измерительные трансформаторы напряжения и тока. Счетчики с номинальным напряжением 3х(57,7-115)/(100-200) В могут использоваться на подключениях с номинальными фазными напряжениями из ряда: 57,7; 63,5; 100; 110; 115 В.
Счетчики с номинальным напряжением 3х(120-230)/(208-400) В могут использоваться как с измерительными трансформаторами напряжения, так и без них на подключениях с номинальными фазными напряжениями из ряда: 120, 127, 173, 190, 200, 220, 230 В.
Счетчики непосредственного включения не чувствительны к постоянной составляющей в цепи переменного тока и предназначены для непосредственного подключения к сети с номинальными напряжениями из ряда: 120, 127, 173, 190, 200, 220, 230 В.
Счетчики могут конфигурироваться для подключения к трехфазным трехпроводным сетям по схеме Арона, как двухэлементные.
Тарификация и архивы учтенной энергии
Счетчики ведут многотарифный учет энергии (без учета потерь) в четырех тарифных зонах, по четырем типам дней в двенадцати сезонах. Дискрет тарифной зоны составляет 10 минут. Чередование тарифных зон в сутках ограничено числом десятиминутных интервалов в сутках и составляет 144 интервала. Тарификатор счетчиков использует расписание праздничных дней и список перенесенных дней.
Счетчики ведут не тарифицированный учет активной и реактивной энергии с учетом потерь в линии электропередачи и силовом трансформаторе.
Счетчики, наряду с трехфазным учетом, ведут не тарифицированный пофазный учет активной и реактивной энергии прямого и обратного направления, если это предусмотрено параметрами конфигурации. По умолчанию пофазный учет отключен.
Счетчики ведут архивы тарифицированной учтенной энергии, не тарифицированной энергии с учетом потерь и не тарифицированный пофазный учет (активной, реактивной прямого и обратного направления), а также учет числа импульсов, поступающих от внешних устройств по цифровому входу:
- всего от сброса (нарастающий итог);
- за текущие и предыдущие сутки;
- на начало текущих и предыдущих суток;
- за каждые предыдущие календарные сутки глубиной до 30 дней;
- на начало каждых предыдущих календарных суток глубиной до 30 дней;
- за текущий месяц и двенадцать предыдущих месяцев;
- на начало текущего месяца и двенадцати предыдущих месяцев;
- за текущий и предыдущий год;
- на начало текущего и предыдущего года.
Профили мощности нагрузки
Счетчики ведут два четырехканальных независимых массива профиля мощности с программируемым временем интегрирования от 1 до 60 минут для активной и реактивной мощности прямого и обратного направления.
Примечание - Для счетчиков непосредственного включения и для счетчиков трансформаторного включения на подключениях с номинальными напряжениями 3х(100-115)/(173-200) В время интегрирования мощности может программироваться только в диапазоне от 1 до 30 минут.
Каждый массив профиля мощности может конфигурироваться для ведения профиля мощности нагрузки с учетом активных и реактивных потерь в линии электропередачи и силовом трансформаторе со временем интегрирования от 1 до 30 минут.
Глубина хранения каждого массива профиля, при времени интегрирования 30 минут, составляет 113 суток, при времени интегрирования 60 минут - 170 суток.
Регистрация максимумов мощности нагрузки
Счетчики могут использоваться как регистраторы максимумов мощности (активной, реактивной, прямого и обратного направления) по каждому массиву профиля мощности с использованием двенадцатисезонного расписания утренних и вечерних максимумов.
Максимумы мощности фиксируются в архивах счетчика:
- от сброса (ручной сброс или сброс по интерфейсному запросу):
- за текущий и каждый из двенадцати предыдущих месяцев.
В архивах максимумов фиксируется значение максимума мощности и время, соответствующее окончанию интервала интегрирования мощности соответствующего массива профиля.
Если массив профиля мощности сконфигурирован для мощности с учетом потерь, то в архивах максимумов фиксируется максимальная мощность с учетом потерь.
Измерение параметров сети и показателей качества электрической энергии
Счетчики измеряют мгновенные значения (время интегрирования от 0,2 до 5 секунд) физических величин, характеризующих трехфазную электрическую сеть, и могут использоваться как измерители параметров, приведенных в таблице 7 или как датчики параметров с нормированными метрологическими характеристиками.
Таблица 7 - Измеряемые параметры
|
Наименование параметра |
Цена единицы младшего разряда индикатора |
Примечание |
|
Активная мощность, Вт |
0,01 |
По каждой фазе сети и сумме фаз |
|
Реактивная мощность, вар |
0,01 | |
|
Полная мощность, В •А |
0,01 | |
|
Активная мощность потерь, Вт |
0,01 | |
|
Реактивная мощность потерь, вар |
0,01 | |
|
Коэффициент активной мощности cosф |
0,01 | |
|
Коэффициент реактивной мощности sinф |
0,01 | |
|
Коэффициент реактивной мощности tgф |
0,01 | |
|
Фазное напряжение, В |
0,01 |
По каждой фазе сети |
|
Межфазное напряжение, В |
0,01 |
По каждой паре фаз |
|
Напряжение прямой последовательности, В |
0,01 | |
|
Частота сети, Гц |
0,01 |
По каждой фазе сети |
|
Ток, А |
0,0001 |
По каждой фазе сети |
|
Ток нулевой последовательности, А |
0,0001 |
Справочные данные |
|
Коэффициент искажения синусоидальности кривой токов, % |
0,01 |
Справочные данные |
|
Коэффициент несимметрии тока по нулевой и обратной последовательностям, % |
0,01 | |
|
Коэффициент искажения синусоидальности кривой фазных напряжений, % |
0,01 | |
|
Коэффициент искажения синусоидальности кривой межфазных напряжений, % |
0,01 | |
|
Коэффициент несимметрии напряжения по нулевой и обратной последовательностям, % |
0,01 | |
|
Текущее время, с |
1 | |
|
Текущая дата | ||
|
Температура внутри счетчика, °С |
1 |
|
Наименование параметра |
Цена единицы младшего разряда индикатора |
Примечание |
|
Примечания 1 Цена единицы младшего разряда и размерности указаны для коэффициентов трансформации, равных 1. 2 Все параметры индицируются с учетом введенных коэффициентов трансформации напряжения и тока. | ||
Счетчики всех вариантов исполнения работают как четырехквадрантные измерители с учетом направления и угла сдвига фаз между током и напряжением в каждой фазе сети и могут использоваться для оценки правильности подключения счетчика. Мгновенные мощности трехфазных измерений определяются с учетом конфигурации, как описано выше (таблицы 1-4).
Счетчики могут использоваться как измерители показателей качества электрической энергии согласно ГОСТ 32144-2013 по параметрам установившегося отклонения фазных (межфазных, прямой последовательности) напряжений и частоты сети.
Испытательные выходы и цифровой вход
В счетчиках функционируют два изолированных испытательных выхода основного передающего устройства. Каждый испытательный выход может конфигурироваться:
- для формирования импульсов телеметрии одного из каналов учета энергии (активной, реактивной, прямого и обратного направления, в том числе и с учетом потерь);
- для формирования сигнала индикации превышения программируемого порога мощности (активной, реактивной, прямого и обратного направления);
- для формирования сигналов телеуправления.
- для формирования сигнала контроля точности хода встроенных часов (канал 0).
- для формирования сигнала управления нагрузкой по программируемым критериям.
В счетчиках функционирует один цифровой вход, который может конфигурироваться:
- для управления режимом поверки;
- для счета нарастающим итогом количества импульсов, поступающих от внешних устройств (по переднему, заднему фронту или обоим фронтам);
- как вход телесигнализации.
Управление нагрузкой
Счетчики позволяют формировать сигнал управления нагрузкой на конфигурируемом испытательном выходе (канал 0) по различным программируемым критериям для целей управления нагрузкой внешним отключающим устройством и работать в следующих режимах:
- в режиме ограничения мощности нагрузки;
- в режиме ограничения энергии за сутки;
- в режиме ограничения энергии за расчетный период (за месяц, если расчетный период начинается с первого числа месяца);
- в режиме контроля напряжения сети;
- в режиме контроля температуры счетчика;
- в режиме управления нагрузкой по расписанию.
Указанные режимы могут быть разрешены или запрещены в любых комбинациях.
Независимо от разрешенных режимов, сигнал управления нагрузкой формируется по интерфейсной команде оператора.
Журналы
Счетчики ведут журналы событий, журналы показателей качества электрической энергии, журналы превышения порога мощности и статусный журнал.
В журналах событий фиксируются времена начала/окончания следующих событий:
- время выключения/включения счетчика;
- время включения/выключения резервного источника питания;
- время выключения/включения фазы 1, фазы 2, фазы 3;
- время открытия/закрытия защитной крышки;
- время вскрытия счетчика;
- время и причина формирования сигнала управления нагрузкой (50 записей);
- время изменения коэффициентов трансформации;
- время коррекции времени и даты;
- время коррекции тарифного расписания;
- время коррекции расписания праздничных дней;
- время коррекции списка перенесенных дней;
- время коррекции расписания утренних и вечерних максимумов мощности;
- время последнего программирования;
- время и количество перепрограммированных параметров;
- время изменения состояния входа телесигнализации (20 записей);
- время инициализации счетчика;
- время сброса показаний (учтенной энергии);
- время инициализации первого и второго массива профиля мощности;
- время сброса максимумов мощности по первому и второму массиву профиля;
- время и количество попыток несанкционированного доступа к данным;
- время и количество измененных параметров измерителя качества;
- время и количество измененных параметров измерителя потерь;
- время воздействия на счетчик повышенной магнитной индукции.
Все перечисленные журналы имеют глубину хранения по 10 записей, кроме указанных особо.
В журналах показателей качества электроэнергии фиксируются времена выхо-да/возврата за установленные верхнюю/нижнюю нормально/предельно допустимую границу:
- отклонения напряжений: фазных, межфазных, прямой последовательности;
- частоты сети;
- коэффициентов искажения синусоидальности кривой фазных и межфазных напряжений;
- коэффициентов несимметрии напряжения по нулевой и обратной последовательностям.
Глубина хранения каждого журнала выхода за нормально допустимые границы 20 записей, за предельно допустимые границы - 10 записей.
В журналах превышения порога мощности фиксируется время выхода/возврата за установленную границу среднего значения активной и реактивной мощности прямого и обратного направления из первого или второго массива профиля мощности. Глубина хранения журнала по каждой мощности 10 записей.
В статусном журнале фиксируется время и значение измененного слова состояния счетчика. Глубина хранения статусного журнала 10 записей.
Устройство индикации
Счетчики имеют жидкокристаллический индикатор (ЖКИ) с подсветкой для отображения учтенной энергии и измеряемых величин и три кнопки управления режимами индикации.
Счетчики в режиме индикации основных параметров позволяют отображать на индикаторе:
- учтенную активную и реактивную энергию прямого и обратного направления по каждому тарифу и сумме тарифов;
- энергию с учетом потерь в линии передачи и силовом трансформаторе;
- число импульсов от внешних датчиков по цифровому входу.
Все перечисленные выше данные сохраняются в архивах с возможностью просмотра на индикаторе:
- всего от сброса показаний (нарастающий итог);
- за текущий и предыдущий год;
- за текущий и предыдущий месяц;
- за текущие и предыдущие сутки.
- на начало текущего года;
- на начало текущего и предыдущего месяца;
- на начало текущих и предыдущих суток.
Счетчики в режиме и индикации основных параметров, кроме перечисленных выше, отображают значения и время фиксации утренних и вечерних максимумов мощности по первому и второму массиву профиля мощности.
Счетчики в режиме индикации вспомогательных параметров позволяют отображать на индикаторе данные вспомогательных режимов измерения, приведенные в таблице 7.
Счетчики в режиме индикации технологических параметров позволяют отображать на индикаторе версию ПО счетчика и контрольную сумму метрологически значимой части ПО.
Интерфейсы связи
Счетчики имеют два равноприоритетных, независимых интерфейса связи: RS-485 и оптический интерфейс по ГОСТ IEC 61107-2011, поддерживают ModBus-подобный, СЭТ-4ТМ.02-совместимый протокол обмена.
В счетчиках могут устанавливаться дополнительные интерфейсные модули в соответствии с таблицей 6 для обеспечения удаленного доступа к сети RS-485 объекта через сети: GSM, UMTS, LTE. PLC, ZigBee, Ethernet, RF, Wi-Fi.
Счетчики через любой интерфейс обеспечивают возможность дистанционного управления функциями, программирования (перепрограммирования) режимов и параметров и считывания параметров, архивных данных и данных измерений.
Работа со счетчиками через интерфейсы связи может производиться с применением программного обеспечения предприятия-изготовителя «Конфигуратор СЭТ-4ТМ» или с применением программного обеспечения пользователей.
Доступ к параметрам и данным со стороны интерфейсов связи защищен паролями на чтение, программирование и управление нагрузкой по команде оператора (три уровня доступа). Метрологические коэффициенты и заводские параметры защищены аппаратной перемычкой защиты записи (аппаратный уровень доступа) и не доступны без снятия пломб предприятия-изготовителя и нарушения знака поверки.
Защита от несанкционированного доступа
Для защиты от несанкционированного доступа в счетчике предусмотрена установка пломб ОТК предприятия-изготовителя и организации осуществляющей поверку счетчика.
После установки на объект счетчики должны пломбироваться пломбами обслуживающей организации. Схема пломбирования счетчиков приведена на рисунках 1, 2.
Кроме механического пломбирования в счетчике предусмотрено электронное пломбирование крышки зажимов и крышки счетчика.
Электронные пломбы работают как во включенном, так и в выключенном состоянии счетчика. При этом факт и время вскрытия крышек фиксируется в соответствующих журналах событий: «Открытие/закрытие защитной крышки», «Вскрытия счетчика» без возможности инициализации журналов.
В счетчиках установлен датчик магнитного поля, фиксирующий воздействие на счетчик магнитного поля повышенной индукции (2±0,7) мТл (напряженность (1600±600) А/м) и выше. Факт и время воздействия на счетчик повышенной магнитной индукции фиксируется в журнале событий.
Общий вид счетчика, схема пломбирования от несанкционированного доступа, обозначение места нанесения знака поверки представлены на рисунке 1.
Рисунок 1 - Общий вид счетчика, схема пломбирования от несанкционированного доступа, обозначение места нанесения знака поверки
Из четырех пломб обслуживающей организации могут устанавливаться только две, но обязательно слева и справа.
Пломбирование счетчиков организацией, осуществляющей поверку, производится с нанесением знака поверки давлением на пломбу или специальную мастику.
Заводской номер, обеспечивающий однозначную идентификацию каждого экземпляра счетчика, наносится на лицевую панель методом лазерной маркировки в виде штрих кода и цифрового кода, состоящего из десяти арабских цифр.
Внешний вид отсека для установки дополнительных интерфейсных модулей с установленным коммуникатором GSM ТЕ101.02.01 приведен на рисунке 2.
Рисунок 2 - Внешний вид отсека для установки дополнительных интерфейсных модулей
Программное обеспечение
Программное обеспечение (ПО) счетчика имеет структуру с разделением на метрологически значимую и метрологически незначимую части. Каждая структурная часть исполняемого кода программы во внутренней памяти микроконтроллера защищается циклической контрольной суммой, которая непрерывно контролируется системой диагностики счетчика.
Метрологические характеристики счетчика напрямую зависят от калибровочных коэффициентов, которые записываются в память счетчика на заводе-изготовителе на стадии калибровки. Калибровочные коэффициенты дублируются в двух массивах и защищаются циклическими контрольными суммами, которые непрерывно контролируется системой диагностики счетчика. Массивы калибровочных коэффициентов защищены аппаратной перемычкой защиты записи и не доступны для изменения без вскрытия счетчика.
При обнаружении ошибок контрольных сумм (КС) системой диагностики устанавливаются флаги ошибок в слове состояния счетчика с записью события в статусный журнал счетчика и отображением сообщения об ошибке на экране ЖКИ:
- Е-09 - ошибка КС метрологически не значимой части ПО;
- Е-42 - ошибка КС метрологически значимой части ПО;
- Е-10 - ошибка КС основного массива калибровочных коэффициентов;
- Е-11 - ошибка КС дублирующего массива калибровочных коэффициентов.
Идентификационные характеристики ПО счетчика приведены в таблице 8. Версия ПО счетчика и цифровой идентификатор ПО могут отображаться на табло ЖКИ в режиме технологической индикации. Метрологические характеристики нормированы с учетом ПО.
Конструкция счетчиков исключает возможность несанкционированного влияния на ПО счетчика и измерительную информацию.
Уровень защиты от непреднамеренных и преднамеренных изменений «высокий» в соответствии с Р 50.2.077-2014.
Таблица 8 - Идентификационные данные программного обеспечения
|
Идентификационные данные (признаки) |
Значение |
|
Идентификационное наименование ПО |
ТЕ 4tmk.tsk |
|
Номер версии (идентификационный номер) ПО |
34.01.ХХ |
|
Цифровой идентификатор ПО |
F7C3 |
|
Алгоритм вычисления цифрового идентификатора программного обеспечения |
CRC 16 ModBus RTU |
|
Примечание - Номер версии ПО состоит из трех полей, каждое поле содержит два символа: - первое поле - код устройства (34 - ПСЧ-4ТМ.05МКТ); - второе поле - номер версии метрологически значимой части ПО; - третье поле - номер версии метрологически незначимой части ПО. | |
Технические характеристики
Таблица 9 - Метрологические характеристики
|
Наименование характеристики |
Значение |
|
Класс точности при измерении в прямом и обратном направлении: - активной энергии по ГОСТ 31819.22-2012 по ГОСТ 31819.21-2012 - реактивной энергии по ГОСТ 31819.23-2012 |
0,5S 1 1 или 2 |
|
Номинальный (максимальный) ток, А Базовый (максимальный) ток, А |
1(2) или 5(10) 5(100) |
|
Стартовый ток (чувствительность), мА - трансформаторного включения - непосредственного включения |
0,0011ном 0,0041б |
|
Наименование характеристики |
Значение | ||
|
Номинальные напряжения, В (см. таблицу 5) |
3х(57,7-115)/(100-200) или 3х(120-230)/(208-400) | ||
|
Установленный рабочий диапазон напряжений от 0,8Uhom до 1,15Uhom, В, счетчиков с Uhom: - 3х(57,7-115)/(100-200) В - 3х(120-230)/(208-400) В |
3х(46-132)/(80-230) 3х(96-265)/(166-460) | ||
|
Предельный рабочий диапазон фазных напряжений (в любых двух фазах), В |
от 0 до 440 | ||
|
Номинальная частота сети, Гц |
50 | ||
|
Диапазон рабочих частот, Гц |
от 47,5 до 52,5 | ||
|
Пределы допускаемой основной относительной погрешности измерения, %: - активной мощности (прямого и обратного направления при активной, индуктивной и емкостной нагрузках), 5P, счетчиков: 1) трансформаторного включения при 0,05Ihom < I < 1макс, C0S9=1 при 0,05Ihom < I < 1макс, ОО8ф=0,5 при 0,01Ihom < I < 0,05Ihom, 0О8ф=1 при 0,02Ihom < I < 0,05Ihom, сч«о=0,5 при 0,05Ihom < I < Хмакс, ОО8ф=0,25 2) непосредственного включения при 0,Пб < I < Хмакс, cosф=1, COSф=0,5 при 0,05k < I < 0,1Тб, сО8ф=1 при 0,Пб < I < какс COSф=0,25 - реактивной мощности (прямого и обратного направления при активной, индуктивной и емкостной нагрузках), 5Q, счетчиков: 1) трансформаторного включения при 0,05Ihom < I < какс, 8Шф=1; 0,5 при 0,01Ihom < I < 0,05Ihom, 8Шф=1 при 0,02Ihom < I < 0,05Ihom, 8Шф=0,5 при 0,05Ihom < I < какс, 8Шф=0,25 2) непосредственного включения при 0,Иб < I < какс, 8Шф=1, sino=0,5 при 0,05k < I < 0,1k, япф=1 при 0,11б < I < какс, 8Шф=0,25 |
±0,5 ±0,6 ±1,0 ±1,0 ±1,0 ±1,0 ±1,5 ±1,5 ±1,0 ±1,5 ±1,5 ±1,5 ±2,0 ±2,5 ±2,5 | ||
|
- полной мощности, 5S (аналогично реактивной мощности) - напряжения (фазного, межфазного, прямой последовательности и их усредненных значений) в диапазоне от 0,8Uhom до 1,15Uhom, 5u 1) трансформаторного включения 2) непосредственного включения - тока, 5I, счетчиков: 1) трансформаторного включения при Ihom < I < Хмакс |
5Q ±0,4 ±0,9 ±0,4 | ||
|
при 0,01Ihom < I < Ihom |
± |
(I ^ 0,4 + 0,02 ном -11 1 1 Ix JJ | |
|
Наименование характеристики |
Значение |
|
2) непосредственного включения при Is < I < 1макс при 0,051б < I < 1б - мощности активных потерь, 5Рп - мощности реактивных потерь, 5Qп - активной энергии и мощности с учетом потерь (прямого и обратного направления), 5P ±Рп - реактивной энергии и мощности с учетом потерь (прямого и обратного направления), 5Q±Qп |
±0,9 ± 0,9 + 0,05^ 1х- -1) (2Si + 25u) (2Si + 45u) ( Р Р„ ^ 1 s Р--+s Рп —— 1 ^ Р Р ± Рп Р ± Рп ) 1 Sq ■ +sQl■ | L Q Q ± Q, Оп Q ± Q, ) |
|
Средний температурный коэффициент в диапазоне температур от минус 40 до плюс 60°С, %/К, при измерении: - активной энергии и мощности 1) трансформаторного включения при 0,051ном < I < 1макс, C0S9=1 при 0,051ном < I < 1макс, COS9=0,5 2) непосредственного включения при 0,1Тб < I < !макс, C0S9=1 при 0,21б < I < !макс, COS9=0,5 - реактивной энергии и мощности 1) трансформаторного включения при 0,051ном < I < какс, sino=l при 0,051ном < I < какс, sin9=0,5 2) непосредственного включения при 0,11б < I < !макс, C0S9=1 при 0,21б < I < !макс, COS9=0,5 |
0,03 0,05 0,05 0,07 0,05 0,07 0,10 0,15 |
|
Пределы допускаемой дополнительной погрешности измерения частоты, напряжения и тока в диапазоне температур от -40 до +60 °С, 51д, % |
0,055д-(«2з)* |
|
Точность хода встроенных часов в нормальных условиях во включенном и выключенном состоянии, с/сут |
±0,5 |
|
Изменение точности хода часов в диапазоне рабочих температур, с/°С /сут: - во включенном состоянии в диапазоне температур от -40 до +60 °С - в выключенном состоянии в диапазоне температур от -40 до +70 °С |
±0,1 ±0,22 |
|
емой величины, t - температу- | |
|
* где 5д - пределы допускаемой основной погрешности измеря ра рабочих условий, t23 — температура 23 °С |
Таблица 10 - Основные технические характеристики
|
Наименование характеристики |
Значение |
|
Постоянная счетчика, имп./(кВт-ч), имп./(квар-ч) в основном режиме (А): для счетчиков с Uhom 3х(57,7-115)/(100-200) В 1ном(1макс) 1(2) А |
25000, |
|
1ном(1макс)=5(10) А |
5000, |
|
для счетчиков с Uhom 3х(120-230)/(208—400) В 1ном(1макс)=1(2) А |
6250 |
|
1ном(1макс)=5(10) А |
1250 (1000*) |
|
1б(1макс)=5(100) А |
250 |
|
режиме поверки (В): для счетчиков с Uhom 3х(57,7-115)/(100-200) В 1ном(1макс) 1(2) А |
800000 |
|
1ном(1макс)=5(10) А |
160000 |
|
для счетчиков с Uhom 3х(120-230)/(208-400) В 1ном(1макс)=1(2) А |
200000 |
|
1ном(1макс)=5(10) А |
40000 (32000*) |
|
1б(1макс)=5(100) А |
8000 |
|
Полная мощность, потребляемая каждой последовательной цепью, ВА, не более |
0,1 |
|
Активная (полная) мощность, потребляемая каждой параллельной цепью напряжения в диапазоне номинальных напряжений, Вт (В •А), не более при 57,7 В |
0,5 (0,8) |
|
при 115 В |
0,7 (1,1) |
|
при 120 В |
0,7 (1,1) |
|
при 230 В |
1,1 (1,9) |
|
Максимальный ток, потребляемый от резервного источника питания переменного или постоянного тока, в диапазоне напряжений от 100 В до 265 В, без учета (с учетом) потребления дополнительного интерфейсного модуля (6 В, 500 мА), мА при =100 В |
30 (90) |
|
при = 265 В |
20 (40) |
|
при ~100 В |
50(120) |
|
при~ 265 В |
40 (70) |
|
Начальный запуск счетчика, с, менее |
5 |
|
Жидкокристаллический индикатор: - число индицируемых разрядов |
8 |
|
- цена единицы младшего разряда при отображении энергии и коэффициентах трансформации равных 1, кВт-ч (квар-ч) |
0,01 |
|
Тарификатор: - число тарифов |
4 |
|
- число тарифных зон в сутках с дискретом 10 минут |
144 |
|
- число типов дней |
4 |
|
- число сезонов |
12 |
|
Наименование характеристики |
Значение |
|
Характеристики интерфейсов связи: - скорость обмена по оптическому порту бит/с (фиксированная) - скорость обмена по порту RS-485, бит/с - протокол обмена - максимальный размер буфера приема/передачи, байт - максимальное число счетчиков, подключаемых к магистрали RS-485 |
9600 от 300 до 38400 ModBus-подобный, СЭТ-4ТМ.02 совместимый 156 64 |
|
Характеристики испытательных выходов: - количество изолированных конфигурируемых испытательных выходов - максимальное напряжение в состоянии «разомкнуто», В - максимальный ток в состоянии «замкнуто», мА - выходное сопротивление в состоянии «разомкнуто», кОм, более в состоянии «замкнуто», Ом, менее |
2 30 50 50 200 |
|
Характеристики цифрового входа: - напряжение присутствия сигнала, В - напряжение отсутствия сигнала, В |
от 4 до 30 от 0 до 1,5 |
|
Сохранность данных при прерываниях питания, лет: - информации, более - внутренних часов, не менее |
40 10 (питание от литиевой батареи) |
|
Защита информации |
пароли трех уровней доступа и аппаратная защита памяти метрологических коэффициентов |
|
Самодиагностика |
Циклическая, непрерывная |
|
Габаритные размеры, мм, не более | |
|
- высота |
309 |
|
- длина |
170 |
|
- ширина |
92 |
|
Масса, кг, не менее |
1,7 |
|
Рабочие условия эксплуатации: - температура окружающей среды, °С - относительная влажность при 30 °С, % - давление, кПа (мм рт. ст.) |
от -40 до +60; до 90; от 70 до 106,7 (от 537 до 800) |
|
Средняя наработка до отказа, ч |
220000 |
|
Средний срок службы, лет |
30 |
|
Время восстановления, ч |
2 |
|
Степень защищенности корпуса от проникновения воды и внешних твердых предметов по ГОСТ 14254-2015 |
!Р51 |
|
* по требованию заказчика |
Знак утверждения типа
наносится на панели счетчиков методом офсетной печати и в эксплуатационной документации на титульных листах типографским способом.
Комплектность
Таблица 11 - Комплектность счетчиков
|
Наименование |
Обозначение |
Количество |
|
Счетчик электрической энергии многофункциональный nC4-4TM.05MKT.XX.YY (одно из исполнений) |
Согласно таблиц 5, 6 |
1 шт. |
|
Формуляр |
ФРДС.411152.002ФО |
1экз. |
|
Руководство по эксплуатации. Часть 1 |
ФРДС.411152.002РЭ |
1 экз. |
|
Руководство по эксплуатации. Часть 2. Методика поверки |
ФРДС.411152.002РЭ1* |
1 экз. |
|
Руководство по эксплуатации. Часть 3. Дистанционный режим |
ФРДС.411152.002РЭ2* |
1 экз. |
|
Руководство по эксплуатации. Часть 4. Измерение и учет потерь |
ФРДС.411152.002РЭ3* |
1 экз. |
|
Программное обеспечение «Конфигуратор СЭТ-4ТМ» версия не ниже 04.03.19 |
ФРДС.00004-01* |
1 экз. |
|
Индивидуальная упаковка |
ФРДС.411915.247 |
1 шт. |
|
Примечания 1 Позиции, помеченные знаком * поставляются по отдельному заказу. 2 Счетчик можно заказать с прозрачной крышкой зажимов (см. пример заказа). 3 В комплект поставки счетчиков с установленным дополнительным интерфейсным модулем входит руководство по эксплуатации и формуляр из комплекта поставки модуля. 4 Ремонтная документация разрабатывается и поставляется по отдельному договору с организациями, проводящими послегарантийный ремонт счетчиков. 5 Документы в электронном виде, включая сертификаты, доступны на сайте предприятия-изготовителя по адресу https://te-nn.ru/. | ||
Сведения о методиках (методах) измерений приведены в эксплуатационном документе.
Нормативные документы
ГОСТ 31818.11-2012. Аппаратура для измерения электрической энергии переменного тока. Общие требования. Испытания и условия испытаний. Часть 11. Счетчики электрической энергии;
ГОСТ 31819.21-2012. Аппаратура для измерения электрической энергии переменного тока. Частные требования. Часть 21. Статические счетчики активной энергии классов точности 1 и 2;
ГОСТ 31819.22-2012. Аппаратура для измерения электрической энергии переменного тока. Частные требования. Часть 22. Статические счетчики активной энергии классов точности 0,2S и 0,5S;
ГОСТ 31819.23-2005. Аппаратура для измерения электрической энергии переменного тока. Частные требования. Часть 23. Статические счетчики реактивной энергии;
ФРДС.411152.002ТУ. «Счетчики электрической энергии многофункциональные ПСЧ-4ТМ.05МКТ. Технические условия».

