Счетчики электрической энергии многофункциональные ПСЧ-4ТМ.05МНТ
| Номер в ГРСИ РФ: | 76415-19 |
|---|---|
| Категория: | Счетчики электроэнергии |
| Производитель / заявитель: | ООО "ТехноЭнерго", г.Нижний Новгород |
Счетчики предназначены для измерения и учета в двух направлениях активной и реактивной энергии (в том числе и с учетом потерь), ведения массивов профиля мощности нагрузки с программируемым временем интегрирования (в том числе и с учетом потерь), измерения параметров сети и параметров качества электричества в трехфазных сетях переменного тока при непосредственном подключении к сети.
Информация по Госреестру
| Основные данные | |
|---|---|
| Номер по Госреестру | 76415-19 |
| Действует | по 18.10.2029 |
| Наименование | Счетчики электрической энергии многофункциональные |
| Модель | ПСЧ-4ТМ.05МНТ |
| Характер производства | Серийное |
| Идентификатор записи ФИФ ОЕИ | d23e8b30-5a5c-659b-7f57-66df872631af |
Производитель / Заявитель
Общество с ограниченной ответственностью «ТехноЭнерго» (ООО «ТехноЭнерго»), г. Нижний Новгород
РОССИЯ
Поверка
| Межповерочный интервал / Периодичность поверки |
16 лет
|
| Зарегистрировано поверок |
1554
|
| Найдено поверителей | |
| Успешных поверок (СИ пригодно) | 1554 (100%) |
| Неуспешных поверок (СИ непригодно) | 0 (0 %) |
| Актуальность информации | 22.03.2026 |
Поверители
Скачать
|
76415-19: Описание типа
2024-76415-19.pdf
|
Скачать | 649.8 КБ | |
|
76415-19: Методика поверки
2019-mp76415-19.pdf
|
Скачать | 1.4 MБ |
Описание типа
Назначение
Счетчики предназначены для измерения и учета в двух направлениях активной и реактивной энергии (в том числе и с учетом потерь), ведения массивов профиля мощности нагрузки с программируемым временем интегрирования (в том числе и с учетом потерь), измерения параметров сети и параметров качества электричества в трехфазных сетях переменного тока при непосредственном подключении к сети.
Описание
Принцип действия счетчиков электрической энергии многофункциональных ПСЧ-4ТМ.05МНТ основан на цифровой обработке входных аналоговых сигналов.
Управление процессом измерения и всеми функциональными узлами счетчика осуществляется высокопроизводительным микроконтроллером (МК), который реализует измерительные и управляющие алгоритмы в соответствии со специализированной программой, помещенной в его внутреннюю память программ. Управление узлами производится через аппаратно-программные интерфейсы, реализованные на портах ввода/вывода МК.
Измерительная часть счетчиков выполнена на основе многоканального аналогоцифрового преобразователя (АЦП), встроенного в микроконтроллер. АЦП осуществляет выборки мгновенных значений величин напряжения и тока параллельно по шести аналоговым каналам. Микроконтроллер, по выборкам мгновенных значений напряжения и тока, производит вычисление средних за период сети значений частоты, напряжения, тока, активной, полной и реактивной мощности, активной и реактивной мощности потерь в каждой фазе сети, производит их коррекцию по амплитуде, фазе и температуре.
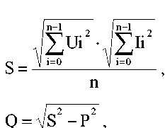
Вычисления средних за период сети значений мощностей и среднеквадратических значений напряжений и токов в каждой фазе производится по следующим формулам:
n-1
У Ui - Ii
|
для активной мощности для полной мощности для реактивной мощности |
P -1=0—, (1) n n-1 n-1 У Ui2-k Ii2 S = ' 0---------' 0-----, (2) n Q = л/s2 - p2 , (3) |
n-1
Z Ui2
для напряжения
U скз
i=0
(4)
для тока
I скз
n-1
ZIi2 i=0
(5)
где Ui, Ii - выборки мгновенных значений напряжения и тока;
n - число выборок за период сети.
Вычисление активной и реактивной мощности потерь за период сети в каждой фазе производится по следующим формулам:
Pi
Qi
• P
А п.л.ном
+ г
VIHJ
• P +
^п.н.ном 1
V UH J
•P
А п.хх.ном
I г i 2
VIHJ
Q п.л.ном
I I A2
+ —
T
VIHJ
Q п.н.ном
Q п.хх .ном ,
(6)
(7)
где I U Рп.л.ном Рп.н.ном трансформаторе;
Рп.хх.ном трансформаторе; (Эп.л.ном Qn.H.HOM трансформаторе;
Qn.xx.HOM трансформаторе;
- среднеквадратическое значение тока за период сети (5);
- среднеквадратическое значение фазного напряжения (4);
- номинальная активная мощность потерь в линии электропередачи;
- номинальная активная мощность нагрузочных потерь в силовом - номинальная активная мощность потерь холостого хода в силовом
- номинальная реактивная мощность потерь в линии электропередачи;
- номинальная реактивная мощность нагрузочных потерь в силовом
- номинальная реактивная мощность потерь холостого хода в силовом
Номинальные мощности потерь вводятся в счетчик как конфигурационные параметры и представляют собой мощность потерь в одной фазе, приведенную к входу счетчика при номинальном токе и напряжении счетчика.
Счетчик является двунаправленным измерителем и измеряет проекции вектора полной мощности на активную и реактивную оси круга мощностей. При этом образуются четыре канала измерения и учета.
Знаки однофазных измерений активной и реактивной мощности всегда соответствуют реальному направлению потока мощности в каждой фазе сети. При этом:
- прямому направлению (от генератора) активной энергии А+ (мощности P+) соответствует фазовый сдвиг между током и напряжением в каждой фазе от 0° до 90° (1-й квадрант, индуктивная нагрузка, импорт) и от 270° до 360° (4-й квадрант, емкостная нагрузка, импорт);
- обратному направлению (к генератору) активной энергии А- (мощности P-) соответствует фазовый сдвиг между током и напряжением в каждой фазе от 180° до 270° (3-й квадрант, индуктивная нагрузка, экспорт) и от 90° до 180° (2-й квадрант, емкостная нагрузка, экспорт);
- прямому направлению (от генератора) реактивной энергии R+ (мощности Q+) соответствует фазовый сдвиг между током и напряжением в каждой фазе от 0° до 180° (импорт);
- обратному направлению (к генератору) реактивной энергии R- (мощности Q-) соответствует фазовый сдвиг между током и напряжением в каждой фазе от 180° до 360° (экспорт).
Вычисление средних за период сети мощностей трехфазной системы производится суммированием соответствующих мощностей однофазных измерений. Знаки трехфазных измерений мощности и знаки каналов учета трехфазной энергии формируются по-разному, в зависимости от конфигурации счетчика. Различаются следующие режимы работы счетчика в зависимости от конфигурации:
- двунаправленный режим измерения активной и реактивной энергии и мощности, 4 канала (режим по умолчанию);
- однонаправленный режим измерения активной и реактивной энергии и мощности (по модулю) 3 канала в прямом направлении (конфигурируемый);
В таблицах 1, 2 приведены знаки направления активной и реактивной мощности однофазных и трехфазных измерений и каналы учета энергии в зависимости от положения вектора полной мощности и конфигурирования счетчика.
Таблица 1 - Знаки мощностей однофазных и трехфазных измерений в двунаправленном режиме
|
Двунаправленный режим (4 канала) | ||||||||
|
Квадрант вектора полной мощности S |
Канал учета энергии трехфазных измерений |
Знак мощности трехфазных измерений |
Знак мощности однофазных измерений |
Каналы телеметрии | ||||
|
актив. |
реактив. |
актив. |
реактив. |
актив. |
реактив. |
актив. |
реактив. | |
|
I |
А+ |
R+ |
P+ |
Q+ |
P+ |
Q+ |
имп. А+ |
имп. R+ |
|
II |
А- |
R+ |
P- |
Q+ |
P- |
Q+ |
имп. А- |
имп. R+ |
|
III |
А- |
R- |
P- |
Q- |
P- |
Q- |
имп. А- |
имп. R- |
|
IV |
А+ |
R- |
P+ |
Q- |
P+ |
Q- |
имп. А+ |
имп. R- |
Таблица 2 - Знаки мощностей однофазных и трехфазных измерений в однонаправленном режиме
|
Однонаправленный режим (3 канала учета по модулю в прямом направлении) | ||||||||
|
Квадрант вектора полной мощности S |
Канал учета энергии трехфазных измерений |
Знак мощности трехфазных измерений |
Знак мощности однофазных измерений |
Каналы телеметрии | ||||
|
актив. |
реактив. |
актив. |
реактив. |
актив. |
реактив. |
актив. |
реактив. | |
|
I |
А+ |
R+ |
P+ |
Q+ |
P+ |
Q+ |
имп. А+ |
имп. R+ |
|
II |
А+ |
R- |
P+ |
Q- |
P- |
Q+ |
имп. А+ |
имп. R- |
|
III |
А+ |
R+ |
P+ |
Q+ |
P- |
Q- |
имп. А+ |
имп. R+ |
|
IV |
А+ |
R- |
P+ |
Q- |
P+ |
Q- |
имп. А+ |
имп. R- |
По полученным за период сети значениям активной и реактивной мощности трехфазной системы формируются импульсы телеметрии на двух конфигурируемых испытательных выходах счетчика. Сформированные импульсы подсчитываются контроллером и сохраняются в регистрах текущих значений энергии и профиля мощности по каждому виду энергии (мощности) и направлению до свершения события. По свершению события, текущие значения энергии или мощности добавляются в соответствующие энергонезависимые регистры учета энергии и массивы профиля мощности. При этом в качестве события выступает время окончания текущего тарифа или время окончания интервала интегрирования мощности для массива профиля, определяемое по встроенным энергонезависимым часам реального времени.
При учете потерь импульсы телеметрии формируются с учетом мощности потерь (P±Pn формулы (1), (6), Q±Qn формулы (3), (7)), подсчитываются контроллером и отдельно сохраняются в регистрах текущих значений энергии и профиля мощности с учетом потерь по каждому виду энергии (мощности) и направлению до свершения события. Знак учета потерь является конфигурационным параметром счетчика и зависит от расположения точки учета и точки измерения.
Измерение провалов напряжений и перенапряжений производится на основе измерений среднеквадратических значений фазных напряжений на каждом полупериоде сети. Измеряется остаточное напряжение провала или величина перенапряжения и длительность провала или перенапряжения в каждой фазе сети и в трехфазной системе.
Счетчики электрической энергии многофункциональные ПСЧ-4ТМ.05МНТ выпускаются в различных модификациях, которые отличаются наличием реле управления нагрузкой, типами интерфейсов связи и способом установки (внутри или снаружи помещений). Варианты исполнения счетчиков приведены в таблице 3.
Запись счетчика при его заказе и в конструкторской документации другой продукции:
«Счётчик электрической энергии многофункциональный ПСЧ-4ТМ.05МНТ.XX.YY ФРДС.411152.004ТУ», где:
XX - условное обозначение варианта исполнения счетчика согласно таблице 3,
YY - условное обозначение типа устанавливаемого дополнительного интерфейсного модуля согласно таблице 4.
Если в счетчик не устанавливается дополнительный интерфейсный модуль, то поле YY должно оставаться пустым. Дополнительные интерфейсные модули могут устанавливаться только в счетчики с интерфейсом RS-485 (варианты исполнения 00-03, таблица 3).
Счетчик может поставляться с прозрачной крышкой зажимов, если это в явном виде указано при заказе.
Счётчики наружной установки вариантов исполнения 40-43, 46, 47, 50, 51, 54, 55, 58, 59, 62, 63 (таблица 3) должны поставляться с терминалами в двух вариантах исполнения, что в явном виде указывается при заказе:
- Т-1.02МТ с питанием от сети переменного тока и с резервным питанием от двух
алкалиновых батарей или двух аккумуляторов типоразмера ААА;
- Т-1.02МТ/1 без источника сетевого электропитания и с питанием только от двух
алкалиновых батарей или двух аккумуляторов типоразмера ААА;
Примеры записи счётчика
- «Счётчик электрической энергии многофункциональный ПСЧ-4ТМ.05МНТ.50 ФРДС.411152.004ТУ с прозрачной крышкой зажимов с терминалом Т-1.02МТ».
- «Счётчик электрической энергии многофункциональный ПСЧ-4ТМ.05МНТ.46
ФРДС.411152.004ТУ с прозрачной крышкой зажимов с терминалом Т-1.02МТ/1».
- «Счётчик электрической энергии многофункциональный ПСЧ-4ТМ.05МНТ.58
ФРДС.411152.004ТУ без терминала».
Счетчики не чувствительны к постоянной составляющей в цепи переменного тока и предназначены для непосредственного подключения к сети с номинальными напряжениями из ряда: 120, 127, 173, 190, 200, 220, 230 В.
аблица 3 - Варианты исполнения счетчиков
|
Условное обозначение варианта исполнения счётчика |
Реле управления нагрузкой |
RS-485 |
Встроенные модемы (коммуникаторы) | ||||||
|
PLC |
ZigBee (RF1) |
GSM (2G) |
Wi-Fi |
UMTS (2G+3G) |
LTE (2G+NBIoT) |
Радиомодем (RF2) | |||
|
Счетчики внутренней установки | |||||||||
|
ПСЧ-4ТМ.05МНТ.00 |
+ |
+ |
- |
- |
- |
- |
- |
- |
+ |
|
ПСЧ-4ТМ.05МНТ.01 |
- |
+ |
- |
- |
- |
- |
- |
- |
+ |
|
ПСЧ-4ТМ.05МНТ.02 |
+ |
+ |
- |
- |
- |
- |
- |
- |
- |
|
ПСЧ-4ТМ.05МНТ.03 |
- |
+ |
- |
- |
- |
- |
- |
- |
- |
|
ПСЧ-4ТМ.05МНТ.04 |
+ |
- |
+ |
- |
- |
- |
- |
- |
+ |
|
ПСЧ-4ТМ.05МНТ.05 |
- |
- |
+ |
- |
- |
- |
- |
- |
+ |
|
ПСЧ-4ТМ.05МНТ.06 |
+ |
- |
+ |
- |
- |
- |
- |
- |
- |
|
ПСЧ-4ТМ.05МНТ.07 |
- |
- |
+ |
- |
- |
- |
- |
- |
- |
|
ПСЧ-4ТМ.05МНТ.08 |
+ |
- |
- |
+ |
- |
- |
- |
- |
+ |
|
ПСЧ-4ТМ.05МНТ.09 |
- |
- |
- |
+ |
- |
- |
- |
- |
+ |
|
ПСЧ-4ТМ.05МНТ.10 |
+ |
- |
- |
+ |
- |
- |
- |
- |
- |
|
ПСЧ-4ТМ.05МНТ.11 |
- |
- |
- |
+ |
- |
- |
- |
- |
- |
|
Счетчики наружной установки с расщепленной архитектурой (Split) | |||||||||
|
ПСЧ-4ТМ.05МНТ.40 |
+ |
- |
- |
- |
- |
- |
+ | ||
|
ПСЧ-4ТМ.05МНТ.41 |
- |
- |
- |
- |
- |
- |
+ | ||
|
ПСЧ-4ТМ.05МНТ.42 |
+ |
- |
+ |
- |
- |
- |
+ | ||
|
ПСЧ-4ТМ.05МНТ.43 |
- |
- |
+ |
- |
- |
- |
+ | ||
|
ПСЧ-4ТМ.05МНТ.44 |
+ |
- |
+ |
- |
- |
- | |||
|
ПСЧ-4ТМ.05МНТ.45 |
- |
- |
+ |
- |
- |
- | |||
|
ПСЧ-4ТМ.05МНТ.46 |
+ |
- |
- |
+ |
- |
- |
+ | ||
|
ПСЧ-4ТМ.05МНТ.47 |
- |
- |
- |
+ |
- |
- |
+ | ||
|
ПСЧ-4ТМ.05МНТ.48 |
+ |
- |
- |
+ |
- |
- | |||
|
ПСЧ-4ТМ.05МНТ.49 |
- |
- |
- |
+ |
- |
- | |||
|
ПСЧ-4ТМ.05МНТ.50 |
+ |
- |
- |
- |
+ |
- |
+ | ||
|
ПСЧ-4ТМ.05МНТ.51 |
- |
- |
- |
- |
+ |
- |
+ | ||
|
ПСЧ-4ТМ.05МНТ.52 |
+ |
- |
- |
- |
+ |
- | |||
|
ПСЧ-4ТМ.05МНТ.53 |
- |
- |
- |
- |
+ |
- | |||
|
ПСЧ-4ТМ.05МНТ.54 |
+ |
- |
- |
- |
- |
+ |
+ | ||
|
ПСЧ-4ТМ.05МНТ.55 |
- |
- |
- |
- |
- |
+ |
+ | ||
|
ПСЧ-4ТМ.05МНТ.56 |
+ |
- |
- |
- |
- |
+ | |||
|
ПСЧ-4ТМ.05МНТ.57 |
- |
- |
- |
- |
- |
+ | |||
|
ПСЧ-4ТМ.05МНТ.58 |
+ |
- |
- |
- |
- |
- |
+ |
+ | |
|
ПСЧ-4ТМ.05МНТ.59 |
- |
- |
- |
- |
- |
- |
+ |
+ | |
|
ПСЧ-4ТМ.05МНТ.60 |
+ |
- |
- |
- |
- |
- |
+ | ||
|
ПСЧ-4ТМ.05МНТ.61 |
- |
- |
- |
- |
- |
- |
+ | ||
|
Условное обозначение варианта исполнения счётчика |
Реле управления нагрузкой |
RS-485 |
Встроенные модемы (коммуникаторы) | ||||||
|
PLC |
ZigBee (RF1) |
GSM (2G) |
Wi-Fi |
UMTS (2G+3G) |
LTE (2G+NBIoT) |
Радиомодем (RF2) | |||
|
ПСЧ-4ТМ.05МНТ.62 |
+ |
- |
- |
- |
- |
- |
+ |
+ | |
|
ПСЧ-4ТМ.05МНТ.63 |
- |
- |
- |
- |
- |
- |
+ |
+ | |
|
ПСЧ-4ТМ.05МНТ.64 |
+ |
- |
- |
- |
- |
- |
+ | ||
|
ПСЧ-4ТМ.05МНТ.65 |
- |
- |
- |
- |
- |
- |
+ | ||
Таблица 4 - Типы устанавливаемых дополнительных интерфейсных модулей
|
Условное обозначение модуля |
Наименование |
|
01 |
Коммуникатор GSM ТЕ101.02.01, С-1.02.01 (сеть 2G) |
|
02 |
Модем PLC М-2.01(Т).01 (однофазный) |
|
03 |
Модем PLC М-2.01(Т).02 (трехфазный) |
|
04 |
Коммуникатор 3G ТЕ101.03.01, С-1.03.01 (сеть 2G+3G) |
|
05 |
Модем Ethernet M-3.01(I).ZZ |
|
06 |
Модем ISM M-4.01(I).ZZ (430 МГц) |
|
07 |
Модем ISM М-4.02(Т)^ (860 МГц) |
|
08 |
Модем ISM М-4.0з(т)^ (2400 МГц) |
|
09 |
Модем оптический M-5.01(Т).ZZ |
|
10 |
Коммуникатор Wi-Fi TE102.01.ZZ, C-2.01.ZZ |
|
11 |
Коммуникатор 4G ТЕ101.04.01, С-1.04.01 (сеть 2G+3G+4G) |
|
12 |
Коммуникатор 4G ТЕ101.04.01/1, С-1.04.01/1 (сеть 2G+4G) |
|
13 |
Коммуникатор NBIoT ТЕ101.01.01 (сеть 2G+4G NBIoT) |
|
14 |
Коммуникатор NBIoT ТЕ101.01.01/1 (сеть 4G только NBIoT) |
|
15 |
Модем LoRaWAN M-6(T).ZZ.ZZ |
|
16 |
Модем Bluetooth M-7(T).ZZ.ZZ |
|
Примечания 1 ZZ - вариант исполнения интерфейсного модуля 2 В счетчики могут устанавливаться дополнительные интерфейсные модули, не приведенные в таблице 4 со следующими характеристиками: - при питании от внутреннего источника счетчика с напряжением 9 В потребляемый ток не должен превышать 400 мА; - при питании от внешнего источника величина напряжения изоляции цепей интерфейса RS-485 модуля от цепей электропитания должна быть 4000 В (среднеквадратическое значение в течение 1 минуты). | |
Тарификация и архивы учтенной энергии
Счетчики ведут трехфазный и раздельный по каждой фазе сети (пофазный) многотарифный учет энергии (без учета потерь) в четырех тарифных зонах, по четырем типам дней в двенадцати сезонах. Дискрет тарифной зоны составляет 10 минут. Чередование тарифных зон в сутках ограничено числом десятиминутных интервалов в сутках и составляет 144 интервала. Тарификатор счетчиков использует расписание праздничных дней и список перенесенных дней.
Счетчики ведут нетарифицированный учет активной и реактивной энергии с учетом потерь в линии электропередачи и силовом трансформаторе.
Счетчики ведут архивы тарифицированной учтенной энергии (трехфазной и однофазный по каждой фазе сети, активной, реактивной, прямого и обратного направления) и трехфазной нетарифицированной энергии с учетом потерь (активной и реактивной прямого и обратного направления), а также учет числа импульсов, поступающих от внешних устройств по цифровым входам:
- всего от сброса (нарастающий итог);
- за текущие и предыдущие сутки;
- на начало текущих и предыдущих суток;
- за каждые предыдущие календарные сутки глубиной до 30 дней;
- на начало каждых предыдущих календарных суток глубиной до 30 дней;
- за текущий месяц и двенадцать предыдущих месяцев;
- на начало текущего месяца и двенадцати предыдущих месяцев;
- за текущий и предыдущий год;
- на начало текущего и предыдущего года.
Счетчик позволяет получать значения учтенной трехфазной нетарифицированной активной и реактивной энергии прямого и обратного направления за сутки с глубиной хранения 248 суток при настройках расширенного массива профиля на четыре канала со временем интегрирования 30 минут.
Профили мощности нагрузки
Счетчики ведут два четырехканальных базовых массива профиля мощности с программируемым временем интегрирования от 1 до 60 минут для активной и реактивной мощности прямого и обратного направления. Каждый массив профиля мощности может конфигурироваться для ведения профиля мощности нагрузки с учетом активных и реактивных потерь в линии электропередачи и силовом трансформаторе со временем интегрирования от 1 до 30 минут.
Глубина хранения каждого базового массива профиля составляет:
- 114 суток при времени интегрирования 30 минут;
- 170 суток при времени интегрирования 60 минут.
Профиль параметров
Счетчики, наряду с двумя базовыми массивами профиля мощности нагрузки, ведут третий независимый массив профиля параметров (расширенный массив профиля или 3-й массив профиля) с программируемым временем интегрирования от 1 до 60 минут. Расширенный массив профиля может конфигурироваться в части выбора количества и типа профилируемых параметров, а также формата хранения данных. Число каналов расширенного массива профиля может программироваться в диапазоне от 1 до 16, а типы профилируемых параметров выбираться из таблицы 5. Кроме того, в расширенном массиве могут профилироваться все четыре мощности, как и в базовых массивах.
Максимальная глубина хранения зависит от конфигурации расширенного массива и времени интегрирования и может составлять:
- 136 суток при 8-и канальном профиле со временем интегрирования 30 минут;
- 248 суток при 4-х канальном профиле со временем интегрирования 30 минут;
- 546 суток при одноканальном профиле со временем интегрирования 30 минут.
Регистрация максимумов мощности нагрузки
Счетчики могут использоваться как регистраторы максимумов мощности (активной и реактивной прямого и обратного направления) по каждому базовому массиву профиля мощности с использованием двенадцатисезонного расписания утренних и вечерних максимумов.
Максимумы мощности фиксируются в архивах счетчика:
- от сброса (ручной сброс или сброс по интерфейсному запросу); - за текущий и каждый из двенадцати предыдущих месяцев.
В архивах максимумов фиксируется значение максимума мощности и время, соответствующее окончанию интервала интегрирования мощности соответствующего массива профиля.
Если массив профиля мощности сконфигурирован для мощности с учетом потерь, то в архивах максимумов фиксируется максимальная мощность с учетом потерь.
Измерение и учет потерь
Счетчики производят расчет активной и реактивной мощности потерь в линии электропередачи и силовом трансформаторе по измеряемым значениям тока и напряжениям и на основании введенных значений номинальных мощностей потерь. Номинальные мощности потерь рассчитываются на основании паспортных данных силового и измерительного оборудования объекта.
Измерение параметров сети и показателей качества электрической энергии
Счетчики измеряют мгновенные значения (время интегрирования от 0,2 до 5 секунд) физических величин, характеризующих трехфазную электрическую сеть, и могут использоваться как измерители параметров, приведенных в таблице 5 или как датчики параметров с нормированными метрологическими характеристиками.
Счетчики всех вариантов исполнения, независимо от конфигурации, работают как четырехквадрантные измерители с учетом направления и угла сдвига фаз между током и напряжением в каждой фазе сети и могут использоваться для оценки правильности подключения счетчика. Мгновенные мощности трехфазных измерений определяются с учетом конфигурации, как показано в таблицах 1, 2.
Таблица 5 - Измеряемые параметры
|
Наименование параметра |
Цена единицы младшего разряда индикатора |
Примечание |
|
Активная мощность, Вт |
0,01 |
По каждой фазе сети и сумме фаз |
|
Реактивная мощность, вар |
0,01 | |
|
Полная мощность, В-А |
0,01 | |
|
Активная мощность потерь, Вт |
0,01 | |
|
Реактивная мощность потерь, вар |
0,01 | |
|
Коэффициент активной мощности cos ф |
0,001 | |
|
Коэффициент реактивной мощности sin ф |
0,001 | |
|
Коэффициент реактивной мощности tg ф |
0,01 | |
|
Фазное напряжение, В |
0,01 |
По каждой фазе сети |
|
Междуфазное напряжение, В |
0,01 |
По каждой паре фаз |
|
Напряжение прямой последовательности, В |
0,01 | |
|
Ток, А |
0,0001 |
По каждой фазе сети |
|
Ток нулевой последовательности, А* |
0,0001 | |
|
Частота сети, Гц |
0,01 | |
|
Коэффициент искажения синусоидальности кривой токов, %* |
0,01 |
По каждой фазе сети |
|
Коэффициент несимметрии тока по нулевой и обратной последовательностям, % * |
0,01 | |
|
Коэффициент искажения синусоидальности кривой фазных напряжений, % * |
0,01 |
По каждой фазе сети |
|
Коэффициент искажения синусоидальности кривой междуфазных напряжений, % * |
0,01 |
По каждой паре фаз |
|
Коэффициент несимметрии напряжения по нулевой и обратной последовательностям, %* |
0,01 | |
|
Текущее время, с |
1 | |
|
Текущая дата |
|
Наименование параметра |
Цена единицы младшего разряда индикатора |
Примечание |
|
Температура внутри счетчика, °С |
1 | |
|
Примечание - Параметры, помеченные символом *, являются справочными с ненормированными метрологическими характеристиками. | ||
Счетчики могут использоваться как измерители показателей качества электрической энергии согласно ГОСТ 32144-2013 с метрологическими характеристиками в соответствии с техническими условиям ФРДС.411152.004ТУ по параметрам установившегося отклонения фазных (междуфазных, прямой последовательности) напряжений, частоты сети, провалов напряжений и перенапряжений. Счетчики измеряют и фиксируют в журналах событий остаточное напряжение и длительность провалов напряжений, и величину и длительность перенапряжений в каждой фазе сети и в трехфазной системе. Счетчики ведут статистику характеристик провалов и перенапряжений в каждой фазе сети и в трехфазной системе с возможностью очистки статистической информации по интерфейсному запросу.
Испытательные выходы и цифровые входы
В счетчиках внутренней установки функционируют два изолированных испытательных выхода основного передающего устройства. В счетчиках наружной установки функционируют два испытательных выхода с общим «-». Каждый испытательный выход может конфигурироваться:
- для формирования импульсов телеметрии одного из каналов учета энергии (активной, реактивной, прямого и обратного направления, в том числе и с учетом потерь);
- для формирования сигнала индикации превышения программируемого порога мощности (активной, реактивной, прямого и обратного направления);
- для формирования сигнала телеуправления;
- для формирования сигнала контроля точности хода встроенных часов (канал 0);
- для формирования сигнала управления нагрузкой по программируемым критериям (канал 0).
В счетчиках внутренней установки функционируют два цифровых входа, которые могут конфигурироваться:
- для управления режимом поверки;
- для счета нарастающим итогом количества импульсов, поступающих от внешних устройств (по переднему, заднему фронту или обоим фронтам);
- как входы телесигнализации.
Управление нагрузкой
Счетчики позволяют управлять нагрузкой посредством встроенного реле управления нагрузкой и формировать сигнал управления нагрузкой на конфигурируемом испытательном выходе (канал 0) по различным программируемым критериям:
- в режиме ограничения мощности нагрузки;
- в режиме ограничения энергии за сутки;
- в режиме ограничения энергии за расчетный период (за месяц, если расчетный период начинается с первого числа месяца);
- в режиме контроля напряжения сети;
- в режиме контроля температуры счетчика;
- в режиме управления нагрузкой по расписанию.
Указанные режимы могут быть разрешены или запрещены в любых комбинациях.
Независимо от разрешенных режимов, управление нагрузкой и формирование сигнала управления нагрузкой производится по интерфейсной команде оператора.
Журналы
Счетчики ведут журналы событий, журналы показателей качества электрической энергии, журналы превышения порога мощности и статусный журнал.
В журналах событий фиксируются времена начала/окончания следующих событий:
- время выключения/включения счетчика;
- время включения/выключения резервного источника питания;
- время выключения/включения фазы 1, фазы 2, фазы 3;
- время открытия/закрытия крышки зажимов;
- время вскрытия счетчика;
- время и причина формирования сигнала управления нагрузкой (50 записей);
- время изменения коэффициентов трансформации;
- время коррекции времени и даты;
- время коррекции тарифного расписания;
- время коррекции расписания праздничных дней;
- время коррекции списка перенесенных дней;
- время коррекции расписания утренних и вечерних максимумов мощности;
- время последнего программирования;
- время и количество перепрограммированных параметров;
- время изменения состояния входа телесигнализации (20 записей);
- время инициализации счетчика;
- время сброса показаний (учтенной энергии);
- время инициализации первого, второго и третьего массива профиля мощности;
- время сброса максимумов мощности по первому и второму массиву профиля;
- время и количество попыток несанкционированного доступа к данным;
- время и количество измененных параметров измерителя качества;
- время и количество измененных параметров измерителя потерь;
- время воздействия на счетчик повышенной магнитной индукции.
Все перечисленные журналы имеют глубину хранения по 10 записей, кроме указанных особо.
В журналах показателей качества электроэнергии фиксируются времена выхода/возврата за установленные верхнюю/нижнюю нормально/предельно допустимую границу:
- отклонения напряжений: фазных, междуфазных, прямой последовательности;
- частоты сети;
- коэффициентов искажения синусоидальности кривой фазных и междуфазных напряжений;
- коэффициентов несимметрии напряжения по нулевой и обратной последовательностям.
Глубина хранения каждого журнала выхода за нормально допустимые границы 20 записей, за предельно допустимые границы - 10 записей.
В журналах провалов и перенапряжений фиксируется время начала, остаточное напряжение и длительность провала напряжения, и величина и длительность перенапряжения для каждой фазы сети и трехфазной системы. Кроме журналов провалов и перенапряжений ведется статистическая таблица параметров провалов и перенапряжений для каждой фазы сети и трехфазной системы. Статистические таблицы могут очищаться по интерфейсному запросу с фиксацией факта и времени очистки в журналах очистки статистики.
В журналах превышения порога мощности фиксируется время выхода/возврата за установленную границу среднего значения активной и реактивной мощности из первого или второго массива профиля мощности. Глубина хранения журнала по каждой мощности 10 записей.
В статусном журнале фиксируется результат работы системы диагностики - время и значение измененного слова состояния счетчика. Глубина хранения статусного журнала 10 записей.
Устройство индикации
Счётчики внутренней установки имеют жидкокристаллический индикатор (ЖКИ) с подсветкой для отображения учтенной энергии и измеряемых параметров, три светодиодных индикатора состояния телеметрии и интерфейсов связи и три кнопки управления режимами индикации.
Счётчики наружной установки не имеют собственного ЖК индикатора, и имеет только три светодиодных индикатора состояния телеметрии и интерфейсов связи. Визуализация данных измерений счётчика наружной установки производится через удаленный терминал Т-1.02МТ или Т-1.02МТ/1, подключаемый к счётчику по радиоканалу через встроенный радиомодем. Терминал входит в комплект поставки счётчика наружной установки, имеет жидкокристаллический индикатор с подсветкой для отображения учтенной энергии и измеряемых параметров и три кнопки управления режимами индикации, как и счётчики внутренней установки.
Счетчики в режиме индикации основных параметров позволяют отображать на индикаторе:
- учтенную (трехфазную) активную и реактивную энергию прямого и обратного направления по каждому тарифу и сумме тарифов;
- энергию с учетом потерь в линии передачи и силовом трансформаторе;
- число импульсов от внешних датчиков по цифровому входу.
Все перечисленные выше данные сохраняются в архивах с возможностью просмотра на индикаторе:
- всего от сброса показаний (нарастающий итог);
- за текущий и предыдущий год;
- за текущий и предыдущий месяц;
- за текущие и предыдущие сутки.
- на начало текущего года;
- на начало текущего и предыдущего месяца;
- на начало текущих и предыдущих суток.
Счетчики в режиме и индикации основных параметров, кроме перечисленных выше, отображают значения и время фиксации утренних и вечерних максимумов мощности по первому и второму базовому массиву профиля мощности.
Счетчики в режиме индикации вспомогательных параметров позволяют отображать на индикаторе данные вспомогательных режимов измерения, приведенные в таблице 5.
Счетчики в режиме индикации технологических параметров позволяют отображать на индикаторе версию ПО счетчика и контрольную сумму метрологически значимой части ПО.
Интерфейсы связи
Счетчики, независимо от варианта исполнения, имеют оптический интерфейс (оптопорт), физические и электрические параметры которого соответствуют ГОСТ IEC 611072011. Наличие других интерфейсов связи определяется вариантом исполнения счетчика в соответствии с таблицей 3.
Счётчик c PLC-модемом обеспечивает передачу данных по низковольтным электрическим сетям общего назначения и соответствует требованиям ГОСТ Р 51317.3.8-99, ГОСТ 30804.3.8-2002 с поддержкой стека протоколов Y-NET фирмы Yitran, позволяющего организовывать сеть передачи данных древовидной структуры с автоматической адресацией, маршрутизацией и оптимизацией маршрутов.
Счётчик с радиомодемом для связи с терминалом (RF2), ZigBee-модемом (RF1) и WiFi-коммуникатором работает на частотах, выделенных по решению ГКРЧ №-7-20-03-001 от 07.05.2007 с учетом изменений №14-20-01 от 20.11.2014 для устройств малого радиуса действия с выходной мощностью передатчика, не требующей разрешения ГКРЧ на использование радиочастотных каналов.
Счётчик с ZigBee-модемом (RF1) поддерживает протоколы связи, основанные на стандарте IEEE 802.15.4-2006. Может выполнять функцию маршрутизатора и обеспечивает формирование полносвязной одноранговой радиосети передачи данных с автоматической адресацией, маршрутизацией и оптимизацией маршрута.
Счётчик с WiFi-коммуникатором поддерживает протоколы связи стандарта IEEE 802.11 b/g/n, работает в режиме клиента и (или) сервера TCP/IP и может поддерживать одновременно до четырех TCP/IP-соединений.
Счетчик со встроенным GSM/UMTS/LTE-коммуникатором работает в сети подвижной радиотелефонной связи стандарта GSM900/1800, UMTS2000, LTE в режиме пакетной передачи данных, как клиент и сервер TCP/IP, с использованием технологии пакетной передачи данных (GPRS, HSPA), и в режиме канальной передачи данных с использованием технологии CSD. Коммуникаторы одновременно поддерживают четыре исходящих и два входящих TCP/IP-соединения, а по своим свойствам соответствует коммуникаторам серий ТЕ101, С-1.
В счетчики внутренней установки с интерфейсом RS-485 могут устанавливаться дополнительные интерфейсные модули, перечисленные в таблице 4, для обеспечения удаленного доступа к интерфейсу RS-485 счетчика через соответствующие сети (PLC, ZigBee, GSM, UMTS, LTE, Ethernet, Wi-Fi). При этом счетчик начинает выполнять функцию коммуникатора, к интерфейсу RS-485 которого могут быть подключены другие счетчики объекта без дополнительных интерфейсных модулей, образуя локальную сеть с возможностью удаленного доступа к каждому счетчику объекта.
Счетчики через любой интерфейс связи поддерживают ModBus-подобный, СЭТ-4ТМ.02-совместимый протокол и обеспечивают возможность считывания через интерфейсы связи архивных данных и измеряемых параметров, считывания, программирования и перепрограммирования параметров.
Работа со счетчиками через интерфейсы связи может производиться с применением программного обеспечения предприятия-изготовителя «Конфигуратор СЭТ-4ТМ» или с применением программного обеспечения пользователей.
Доступ к параметрам и данным со стороны интерфейсов связи защищен паролями на чтение, программирование и управление нагрузкой по команде оператора (три уровня доступа). Метрологические коэффициенты и заводские параметры защищены аппаратной перемычкой защиты записи (аппаратный уровень доступа) и не доступны без снятия пломб предприятия-изготовителя и нарушения оттиска поверительного клейма.
Защита от несанкционированного доступа
Для защиты от несанкционированного доступа в счетчике предусмотрена установка навесной пломбы со знаком поверки организации, осуществляющей поверку счетчика.
После установки на объект счетчики должны пломбироваться пломбами обслуживающей организации. Схема пломбирования счетчиков приведена на рисунке 2.
Кроме механического пломбирования в счетчике предусмотрено электронное пломбирование крышки счетчика и крышки зажимов. Электронные пломбы работают как во включенном, так и в выключенном состоянии счетчика. При этом факт и время вскрытия крышек фиксируется в соответствующих журналах событий без возможности инициализации журналов.
В счетчиках установлен датчик магнитного поля, фиксирующий воздействие на счетчик магнитного поля повышенной индукции (2±0,7) мТл (напряженность (1600±600) А/м) и выше. Факт и время воздействия на счетчик повышенной магнитной индукции фиксируется в журнале событий и отображается на ЖКИ.
Общий вид счётчика наружной установки, схема пломбировки и обозначение места нанесения знака поверки представлены на рисунке 1.
Пломба с оттиском клейма ОТК
Рисунок 1 - Общий вид счётчика наружной установки и терминала Т-1.02МТ, схема пломбировки и обозначение места нанесения знака поверки
Общий вид счетчика внутренней установки с установленной крышкой зажимов и снятой крышкой зажимов, а также схема пломбировки приведены на рисунках 2 и 3.
Рисунок 2 - Общий вид счетчика внутренней установки с установленной крышкой зажимов, схема пломбировки и обозначение места нанесения знака поверки
Рисунок 3 - Вид счетчика внутренней установки со снятой крышкой зажимов
Заводской номер, обеспечивающий однозначную идентификацию каждого экземпляра счетчика, наносится на лицевую панель методом лазерной маркировки в виде штрих кода и цифрового кода, состоящего из десяти арабских цифр.
Программное обеспечение
Программное обеспечение (ПО) счетчика имеет структуру с разделением на метрологически значимую и метрологически незначимую части. Каждая структурная часть исполняемого кода программы во внутренней памяти микроконтроллера защищается циклической контрольной суммой, которая непрерывно контролируется системой диагностики счетчика.
Метрологические характеристики счетчика напрямую зависят от калибровочных коэффициентов, которые записываются в память счетчика на заводе-изготовителе на стадии калибровки. Калибровочные коэффициенты дублируются в двух массивах и защищаются циклическими контрольными суммами, которые непрерывно контролируется системой диагностики счетчика. Метрологически значимая часть ПО и калибровочные коэффициенты защищены аппаратной перемычкой защиты записи и не доступны для изменения без вскрытия счетчика.
При обнаружении ошибок контрольных сумм (КС) системой диагностики устанавливаются флаги ошибок в слове состояния счетчика с записью события в статусный журнал счетчика и отображением сообщения об ошибке на экране ЖКИ:
- Е-09 - ошибка КС метрологически не значимой части ПО;
- Е-42 - ошибка КС метрологически значимой части ПО;
- Е-10 - ошибка КС основного массива калибровочных коэффициентов;
- Е-11 - ошибка КС дублирующего массива калибровочных коэффициентов.
Версия ПО счетчика и цифровой идентификатор ПО могут отображаться на табло ЖКИ в режиме технологической индикации. Метрологические характеристики нормированы с учетом влияния программного обеспечения.
Конструкция счетчиков исключает возможность несанкционированного влияния на ПО счетчика и измерительную информацию.
Уровень защиты программного обеспечения от непреднамеренных и преднамеренных изменений «высокий» в соответствии с Р 50.2.077-2014.
Таблица 6 - Идентификационные данные программного обеспечения
|
Идентификационные данные (признаки) |
Значение |
|
Идентификационное наименование ПО |
ТЕ 4tmn.tsk |
|
Номер версии (идентификационный номер) ПО |
35.01.ХХ |
|
Цифровой идентификатор ПО |
С6В2 |
|
Алгоритм вычисления цифрового идентификатора ПО |
CRC 16 ModBus RTU |
|
Примечание - Номер версии ПО состоит из трех полей, каждое поле содержит два символа: - первое поле - код устройства (35 - ПСЧ-4ТМ.05МНТ); - второе поле - номер версии метрологически значимой части ПО (01); - третье поле - номер версии метрологически не значимой части ПО. | |
Технические характеристики
Таблица 7- Метрологические характеристики
|
Наименование характеристики |
Значение |
|
Класс точности при измерении в прямом и обратном направлении: - активной энергии по ГОСТ 31819.21-2012 - реактивной энергии по ГОСТ 31819.23-2012 |
1; 2 |
|
Базовый (максимальный) ток, А |
5(80) |
|
Стартовый ток (чувствительность), мА |
20 |
|
Номинальные напряжения, В |
3х(120-230)/(208-400) |
|
Наименование характеристики |
Значение | |
|
Установленный рабочий диапазон напряжений от 0,8Uhom до 1,15Uhom, В |
3x(96-265)/(166-460) | |
|
Предельный рабочий диапазон фазных напряжений (в любых двух фазах), В |
от 0 до 440 | |
|
Номинальная частота сети, Гц |
50 | |
|
Диапазон рабочих частот, Гц |
от 47,5 до 52,5 | |
|
Пределы допускаемой основной относительной погрешности измерения, %: - активной мощности (прямого и обратного направления при активной, индуктивной и емкостной нагрузках), 5P при 0,11б < I < 1макс, СОБф=1, COS9=0,5 при 0,05k < I < 0,11б, cos9=1 при 0,11б < I < 1макс COS9=0,25 - реактивной мощности (прямого и обратного направления при активной, индуктивной и емкостной нагрузках), 5Q при 0,11б < I < 1макс, sin9=1, sin9=0,5 при 0,05k < I < 0,1k, sin9=1 при 0,1k < I < какс, sin9=0,25 - полной мощности, 5S (аналогично реактивной мощности) - мощности активных потерь, 5Рп - мощности реактивных потерь, 5Qп - активной энергии и мощности с учетом потерь (прямого и обратного направления), 5P ±Рп - реактивной энергии и мощности с учетом потерь (прямого и обратного направления), 5Q±Qп - напряжения (фазного, междуфазного, прямой последовательности и их усредненных значений) в установленном диапазоне рабочих напряжений (96 - 265) В фаза-ноль, 5u - тока, 5I при I6 < I < !макс при 0,05k < I < I6 - частоты и ее усредненного значения в диапазоне от 47,5 до 52,5 Гц - коэффициента активной мощности, Skp - коэффициента реактивной мощности, Skq - коэффициента реактивной мощности, Sktg |
±1,0; ±1,5; ±1,5; ±2,0; ±2,5; ±2,5; SQ; (2Si + 2Su); (2Si + 4Su); ( Р Р ^ 5p--+ 8Рп--п- X Р Р ± Рп Рп Р ± Рп ) (ex ex SQ —Q— + 8пп • -Q2-I Q Q ± Q Q" Q ± Рп, ±0,9; ±0,9; ± 0,9 + 0,05^Ь- -11 L XIх )_ • ; ±0,05; (Sp+Ss); (Sq+Ss); (Sq+Sp); |
; '• ; |
|
Пределы допускаемой абсолютной погрешности измерения: - остаточного напряжения провала и величины перенапряжения (в диапазоне от 0 до 1,4-Ueom), В - длительности провала и перенапряжения (в диапазоне от 0,01 до 180 с), с |
±0,0Шном; ±0,02 | |
|
Пределы допускаемой дополнительной погрешности измерения частоты, напряжения и тока в диапазоне рабочих |
О058Д (t -123) * |
|
Наименование характеристики |
Значение |
|
температур, 6tg, % | |
|
Средний температурный коэффициент в диапазоне рабочих температур, %/К, при измерении: - активной энергии и мощности - при 0,11б < I < 1макс, COS9=1 |
0,05; |
|
- при 0,21б < I < 1макс, COS9=0,5 - реактивной энергии и мощности |
0,07; |
|
- при 0,11б < I < 1макс, COS9=1 |
0,10; |
|
- при 0,21б < I < 1макс, COS9=0,5 |
0,15 |
|
Точность хода встроенных часов в нормальных условиях во включенном и выключенном состоянии, с/сут |
±0,5 |
|
Изменение точности хода часов в диапазоне рабочих температур, с/°С /сут: | |
|
- во включенном состоянии |
±0,1; |
|
- в выключенном состоянии |
±0,22 |
|
Постоянная счетчика, имп./(кВт-ч), имп./(квар-ч) - в основном режиме (А) |
250; |
|
- в режиме поверки (В) |
8000 |
|
где * 5д - пределы допускаемой основной погрешности измеряемой величины, | |
|
t - температура рабочих условий, t23 — температура 23 °С | |
Таблица 8 - Основные технические характеристики
|
Наименование характеристики |
Значение |
|
Полная мощность, потребляемая каждой последовательной цепью, В-А, не более |
0,1 |
|
Активная (полная) мощность, потребляемая каждой параллельной цепью напряжения в диапазоне напряжений от 120 В до 230 В при емкостном характере нагрузки, Вт (В-А), не более: - без дополнительного интерфейсного модуля - с дополнительным интерфейсным модулем |
2(10); 3(10) |
|
Начальный запуск счетчика, менее, с |
5 |
|
Жидкокристаллический индикатор: - число индицируемых разрядов - цена единицы младшего разряда при отображении энергии, кВт-ч (квар-ч) |
8; 0,01 |
|
Тарификатор: - число тарифов - число тарифных зон в сутках с дискретом 10 минут - число типов дней - число сезонов |
4; 144; 4; 12 |
|
Характеристики интерфейсов связи: - протокол обмена - скорость обмена по оптическому порту, бит/с |
ModBus-подобный, СЭТ-4ТМ.02 совместимый; 9600 (фиксированная); |
|
- скорость обмена по порту RS-485, бит/с, с битом контроля нечетности и без него |
38400, 28800, 19200, 9600, 4800, 2400, 1200, 600, 300; |
|
Наименование характеристики |
Значение |
|
- максимальное число счетчиков, подключаемых к магистрали RS-485 |
64 |
|
Характеристики встроенного радиомодема для связи с терминалом: - протокол обмена - скорость обмена по радиоканалу, бит/с - максимальный объем полезной информации в одном пакете передачи, байт - рабочие частоты, МГц - мощность передатчика, мВт, не более |
SimpliciTI фирмы Texas Instruments; 9600; 50; 868,85 или 869,05; 10 |
|
Характеристики встроенного ZigBee- модема: - протокол обмена основан на стандарте - максимальный объем полезной информации в одном пакете передачи, байт - диапазон рабочих частот, МГц - количество частотных каналов - число ретрансляций при передаче данных - мощность передатчика, мВт, не более |
IEEE 802.15.4-2006; 256; от 2400 до 2483,5; 16; до 15; 100 |
|
Характеристики встроенного PLC-модема: - протокол обмена - уровень выходного сигнала передатчика в полосе частот от 9 до 95 кГц - полоса частот сигнала, кГц - скорость передачи данных в электрической сети, бит/с - максимальный объем полезной информации в одном пакете передачи, байт, не более - число ретрансляций при передаче данных - число модемов в одной логической сети |
Y-NET фирмы Yitran; по ГОСТ 30804.3.8-2002; от 20 до 82; 2400, модуляция DCSK; 87; до 8 по умолчанию; до 2000 |
|
Характеристики встроенного Wi-Fi-коммуникатора: - протоколы обмена - диапазон рабочих частот, МГц - мощность передатчика, мВт, не более |
IEEE 802.11 b/g/n; от 2412 до 2484; 100 |
|
Характеристики встроенного GSM-коммуникатора: - технология - диапазоны частот, МГц - мощность передатчика, Вт - класс GPRS - CSD |
GSM/GPRS; 900/1800; 2 (класс 4 на частоте 900 МГц); 1 (класс 1 на частоте 1800 МГц); (1-6), (9-10); RLP, непрозрачная передача, 9600 бит/c |
|
Характеристики встроенного UMTS-коммуникатора: - технология - диапазоны частот, МГц - мощность передатчика, Вт - класс GPRS(EDGE) |
GSM/GPRS/EDGE/UMTS/HSPA; GSM 900/1800, UMTS 900/2100; 2 (класс 4, GSM 900 МГц); 1 (класс 1, GSM 1800 МГц); 0,25 (класс 3 UMTS 900/2100 МГц); (1-12), (30-33), (35-38), кроме класс 7; |
|
Наименование характеристики |
Значение |
|
- EDGE |
Uplink до 236,8 кбит/с; Downlink до 296 кбит/с; |
|
- UMTS |
Uplink/ Downlink до 384 кбит/с; |
|
- HSPA |
Uplink до 5,76 Мбит/с; Downlink до 7,2 Мбит/с; |
|
- CSD |
RLP, непрозрачная передача, 9600 бит/c |
|
Характеристики встроенного LTE-коммуникатора (GSM+NB2) | |
|
- технология |
GSM/EGPRS/NB2; |
|
- диапазоны частот, МГц |
GSM, NB2 900/1800; |
|
- мощность передатчика, Вт |
2 (класс 4, GSM 900 МГц); 1 (класс 1, GSM 1800 МГц); |
|
0,25 (класс 3 NB2 900/1800 МГц); | |
|
- EGPRS |
Uplink до 210 кбит/с; Downlink до 264 кбит/с; |
|
- LTE NB2 |
Uplink до 160 кбит/с; Downlink до 120 кбит/с; |
|
- CSD |
RLP, непрозрачная передача, 9600 бит/c |
|
Характеристики испытательных выходов: | |
|
- количество испытательных выходов |
2 конфигурируемых выхода; |
|
- максимальное напряжение, В |
30; |
|
- максимальный ток, мА |
50; |
|
- выходное сопротивление: | |
|
в состоянии «разомкнуто», кОм, не менее |
50; |
|
в состоянии «замкнуто», Ом, не более |
200 |
|
Характеристики цифровых входов: - количество цифровых входов |
2; |
|
- напряжение присутствия сигнала, В |
от 4 до 30; |
|
- напряжение отсутствия сигнала, В |
от 0 до 1,5 |
|
Сохранность данных при прерываниях питания, лет: - информации, более |
40; |
|
- внутренних часов, не менее |
16 (питание от литиевой батареи) |
|
Защита информации |
пароли трех уровней доступа и |
|
аппаратная защита памяти | |
|
метрологических коэффициентов | |
|
Самодиагностика |
Циклическая, непрерывная |
|
Габаритные размеры, мм, не более: счетчиков внутренней установки | |
|
- высота |
299; |
|
- длина |
170; |
|
- ширина |
101; |
|
счетчиков наружной установки | |
|
- высота |
198; |
|
- длина |
256; |
|
- ширина |
122; |
|
счетчиков наружной установки со швеллером крепления на опоре | |
|
- высота |
350; |
|
Наименование характеристики |
Значение |
|
- длина - ширина |
256; 130 |
|
Масса, кг, не более: - счётчиков внутренней установки без упаковки - счётчиков внутренней установки в потребительской таре - счётчиков наружной установки (с кронштейном) - счётчиков наружной установки (с кронштейном и терминалом Т-1.02МТ) |
1,9; 2,4; 2,1; 3,3 |
|
Условия эксплуатации: - счётчиков внутренней установки температура окружающей среды, °С относительна влажность, % атмосферное давление, кПа - счётчиков наружной установки температура окружающей среды, °С относительна влажность, % атмосферное давление, кПа |
от -40 до +70; до 90 % при 30 °С; от 70 до 106,7; от -40 до +70; до 100 % при 25 °С; от 70 до 106,7 |
|
Степень защиты от проникновения пыли и воды (по ГОСТ 14254-2015) - счётчиков внутренней установки - счетчиков наружной установки |
IP51; IP55 |
|
Средний срок службы, лет |
30 |
|
Средняя наработка на отказ, ч |
220000 |
|
Время восстановления, ч |
2 |
Знак утверждения типа
наносится на панели счетчиков методом офсетной печати и в эксплуатационной документации на титульных листах типографским способом.
Комплектность
Таблица 9 - Комплектность средства измерения___________________________________________
|
Наименование |
Обозначение |
Количество |
|
Комплект поставки счетчика для установки внутри помещения | ||
|
Счетчик электрической энергии многофункциональный HC4-4TM.O5MHT.XX.YY (одно из исполнений таблицы 3, 4) |
ФРДС.411152.004 |
1 шт. |
|
Формуляр |
ФРДС.411152.004ФО |
1 экз. |
|
Руководство по эксплуатации. Часть 1 |
ФРДС.411152.004РЭ |
1 экз. |
|
Руководство по эксплуатации. Часть 2. Методика поверки |
ФРДС.411152.004РЭ1* |
1 экз. |
|
Руководство по эксплуатации. Часть 3. Дистанционный режим |
ФРДС.411152.004РЭ2* |
1 экз. |
|
Руководство по эксплуатации. Часть 4. Измерение и учет потерь |
ФРДС.411152.004РЭ3* |
1 экз. |
|
Программное обеспечение «Конфигуратор СЭТ-4ТМ», версия не ниже 28.05.19 |
ФРДС.00004-01* |
1 шт. |
|
Индивидуальная упаковка |
ФРДС.411915.004 |
1 шт. |
|
Комплект поставки счетчика наружной установки | ||
|
Счетчик электрической энергии многофункциональный |
ФРДС.411152.004 |
1 шт. |
|
Наименование |
Обозначение |
Количество |
|
ПСЧ-4ТМ.05МНТ.ХХ (одно из исполнений таблица 3) | ||
|
Формуляр |
ФРДС.411152.004ФО |
1 экз. |
|
Руководство по эксплуатации. Часть 1 |
ФРДС.411152.004РЭ |
1 экз. |
|
Руководство по эксплуатации. Часть 2. Методика поверки |
ФРДС.411152.004РЭ1* |
1 экз. |
|
Руководство по эксплуатации. Часть 3. Дистанционный режим |
ФРДС.411152.004РЭ2* |
1 экз. |
|
Руководство по эксплуатации. Часть 4. Измерение и учет потерь |
ФРДС.411152.004РЭ3* |
1 экз. |
|
Программное обеспечение «Конфигуратор СЭТ-4ТМ», версия не ниже 28.05.19 |
ФРДС.00004-01* |
1 шт. |
|
Терминал Т-1.02МТ с комплектом эксплуатационных документов |
ФРДС.468369.010** |
1 шт. |
|
Индивидуальная упаковка |
ФРДС.411915.304 |
1 шт. |
|
Комплект монтажных частей: |
ФРДС.411911.007 | |
|
Швеллер |
ФРДС.754342.001 |
1 шт. |
|
Уголок |
ФРДС.746122.007 |
1 шт. |
|
Шуруп саморез М4.2х13.32.ЛС59-1.139 DIN968 |
2 шт. | |
|
Винт В2.М4-6дх10.32.ЛС59-1.136 ГОСТ 17473-80 |
2 шт. | |
|
Шайба 4Л Бр.КМц3-1.136 ГОСТ 6402-70 |
2 шт. | |
|
Шайба А 4.32.ЛС59-1.136 ГОСТ 10450-78 |
2 шт. | |
|
Дюбель-гвоздь фасадный KAT N 10x100 * |
2 шт. | |
|
Примечания 1 Позиции, помеченные знаком * поставляются по отдельному заказу. 2 Счетчик может поставляться с прозрачной крышкой зажимов (см. пример заказа). 3 В комплект поставки счетчиков с установленным дополнительным интерфейсным модулем входит эксплуатационная документация из комплекта поставки модуля. 4 Терминал, помеченный знаком **, поставляется со счётчиками наружной установки с радиомодемом в двух вариантах исполнения, что в явном виде указывается при заказе: - Т-1.02МТ с питанием от сети переменного тока и с резервным питанием от двух алкалиновых батарей или двух аккумуляторов типоразмера ААА; - Т-1.02МТ/1 без источника сетевого электропитания и с питанием только от двух алкалиновых батарей или двух аккумуляторов типоразмера ААА; Терминал может иметь другой тип или не входить в состав комплекта поставки по требованию заказчика. 5 Ремонтная документация разрабатывается и поставляется по отдельному договору с организациями, проводящими послегарантийный ремонт счетчиков. 6 Документы в электронном виде, включая сертификаты, и программное обеспечение «Конфигуратор СЭТ-4ТМ» доступны на сайте завода-изготовителя по адресу https://te-nn.ru. | ||
Сведения о методиках (методах) измерений приведены в эксплуатационном документе.
Нормативные документы
ГОСТ 31818.11-2012. Аппаратура для измерения электрической энергии переменного тока. Общие требования. Испытания и условия испытаний. Часть 11. Счетчики электрической энергии;
ГОСТ 31819.21-2012. Аппаратура для измерения электрической энергии переменного тока. Частные требования. Часть 21. Статические счетчики активной энергии классов точности 1 и 2;
ГОСТ 31819.23-2005. Аппаратура для измерения электрической энергии переменного тока. Частные требования. Часть 23. Статические счетчики реактивной энергии;
ФРДС.411152.004ТУ. Счетчики электрической энергии многофункциональные ПСЧ-4ТМ.05МНТ. Технические условия.



