Счетчики электрической энергии многофункциональные ТЕ1000
| Номер в ГРСИ РФ: | 82562-21 |
|---|---|
| Категория: | Счетчики электроэнергии |
| Производитель / заявитель: | ООО "ТехноЭнерго", г.Нижний Новгород |
Счетчики предназначены для измерения и многотарифного коммерческого или технического учета активной и реактивной энергии прямого и обратного направления, измерения параметров сети, измерения параметров качества электричества (отклонение частоты и напряжения, провалы напряжения и перенапряжения) в однофазных сетях переменного тока.
Информация по Госреестру
| Основные данные | |
|---|---|
| Номер по Госреестру | 82562-21 |
| Действует | по 09.08.2026 |
| Наименование | Счетчики электрической энергии многофункциональные |
| Модель | ТЕ1000 |
| Модификации |
ТЕ1000.00 ТЕ1000.01 ТЕ1000.02 ТЕ1000.03 ТЕ1000.40 ТЕ1000.41 ТЕ1000.42 ТЕ1000.43 ТЕ1000.60 ТЕ1000.61 ТЕ1000.62 ТЕ1000.63 |
| Приказы |
№858 от
06.05.2026
— О внесении изменений в сведения об утвержденных типах средств измерений
|
| Код идентификации производства |
ОС
СИ не соответствует критериям подтверждения производства на территории
РФ в соответствии с постановлением №719
|
| Характер производства | Серийное |
| Идентификатор записи ФИФ ОЕИ | 95fd613c-2969-ab67-cff3-d61d93c685ed |
Производитель / Заявитель
ООО «ТЭ», РОССИЯ, 603152, г. Нижний Новгород, ул. Кемеровская, д. 3
РОССИЯ
Поверка
| Методика поверки / информация о поверке |
ФРДС.411152.006РЭ1 Счетчик электрической энергии многофункциональный ТЕ1000. Руководство по эксплуатации. Часть 2. Методика поверки
|
| Межповерочный интервал / Периодичность поверки |
16 лет
|
| Зарегистрировано поверок |
1328
|
| Найдено поверителей | |
| Успешных поверок (СИ пригодно) | 1328 (100%) |
| Неуспешных поверок (СИ непригодно) | 0 (0 %) |
| Актуальность информации | 10.05.2026 |
Поверители
Скачать
|
82562-21: Описание типа
2025-82562-21.pdf
|
Скачать | 666.1 КБ | |
|
82562-21: Методика поверки
2021-mp82562-21.pdf
Файл устарел
|
Скачать | 12.4 MБ | |
|
82562-21: Описание типа
2025-82562-21-1.pdf
Файл устарел
|
Скачать | 666.1 КБ | |
|
82562-21: Описание типа
2026-82562-21.pdf
Файл устарел
|
Скачать | 475.5 КБ | |
|
82562-21: Методика поверки
2021-mp82562-21-1.pdf
Файл устарел
|
Скачать | 12.4 MБ | |
|
82562-21: Описание типа
2026-82562-21-1.pdf
|
Скачать | 475.5 КБ | |
|
82562-21: Методика поверки
ФРДС.411152.006РЭ1
2021-mp82562-21-2.pdf
|
Скачать | 5.3 MБ |
Описание типа
Назначение
Счетчики предназначены для измерения и многотарифного коммерческого или технического учета активной и реактивной энергии прямого и обратного направления, измерения параметров сети, измерения параметров качества электричества (отклонение частоты и напряжения, провалы напряжения и перенапряжения) в однофазных сетях переменного тока.
Описание
Принцип действия счетчиков электрической энергии многофункциональных ТЕ1000 основан на цифровой обработке входных аналоговых сигналов. Управление процессом измерения и всеми функциональными узлами счетчика осуществляется высокопроизводительным микроконтроллером (МК), который реализует измерительные и управляющие алгоритмы в соответствии со специализированной программой, помещенной в его внутреннюю память программ. Управление узлами производится через аппаратно-программные интерфейсы, реализованные на портах ввода/вывода МК
Измерительная часть счетчиков выполнена на основе аналого-цифрового преобразователя (АЦП), встроенного в микроконтроллер. АЦП осуществляет выборки мгновенных значений величин напряжения и тока. Микроконтроллер по выборкам мгновенных значений напряжения и тока производит вычисление средних за период сети значений частоты, напряжения, тока, активной и полной мощности, производит их коррекцию по амплитуде, фазе и температуре.
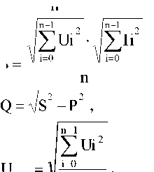
Вычисления средних за период сети значений мощностей и среднеквадратических значений напряжений и токов производится по следующим формулам:
п-1
X Ui ■ ii
|
для активной мощности для полной мощности для реактивной мощности для напряжения |
р=—, (1) п (п-1 п- 1 JX Ui\X li2 S = Jrf----ъ_о—, (2) п Q = '/s2 - P2 , (3) n—1 XUi2 U скз =1 , (4) |
n
для тока
I скз
n-1
Z Ii2
i=0
(5)
где Ui, Ii - выборки мгновенных значений напряжения и тока;
n - число выборок за период сети.
По измеренным за период сети значениям активной и реактивной мощности прямого и обратного направления формируются импульсы телеметрии на конфигурируемом испытательном выходе счётчика. Сформированные импульсы подсчитываются МК и сохраняются в регистрах текущих значений энергии и профиля мощности до свершения события. По свершению события, текущие значения энергии добавляются в соответствующие энергонезависимые регистры учета энергии и профиля мощности. При этом в качестве события выступает время окончания текущего тарифа или время окончания интервала интегрирования мощности для массива профиля.
Функциональные возможности
Счетчики имеют второй датчик тока в нулевом проводе и обеспечивают:
- многотарифный учет активной и реактивной энергии прямого и обратного направления и четырехквадрантной реактивной энергии по датчику тока в фазном или нулевом проводах или по датчику тока, который, фиксирует большие показания активной мощности;
- ведение четырехканального массива профиля мощности нагрузки с программируемым временем интегрирования;
- ведение многоканального профиля параметров с программируем временем интегрирования;
- измерение параметров однофазной сети и параметров качества электрической энергии;
- ведение журналов событий.
Счётчики позволяют управлять нагрузкой посредством встроенного реле управления нагрузкой и формировать сигнал управления нагрузкой на конфигурируемом испытательном выходе по различным программируемым критериям.
Счетчики имеют интерфейсы связи, поддерживают ModBus-подобный, СЭТ-4ТМ.02-совместимый протокол обмена, и предназначены для работы, как автономно, так и в составе автоматизированных систем контроля и учета электроэнергии (АИИС КУЭ) и в составе автоматизированных систем диспетчерского управления (АСДУ).
Счетчики внутренней установки, в том числе с установкой на DIN-рейку, предназначены для работы в закрытых помещениях с диапазоном рабочих температур от минус 40 до плюс 70 °С. Счетчики наружной установки имеют расщепленную архитектуру, предназначены для работы в диапазоне температур от минус 40 до плюс 70 °С, не чувствительны к воздействию солнечной радиации, инея и росы.
Варианты исполнения
В модельный ряд счетчиков серии ТЕ1000 входят счетчики, отличающиеся наличием реле управления нагрузкой, наличием второго датчика тока, наличием радиомодема, способом установки (внутри или снаружи помещений, на DIN-рейку), типом встраиваемого интерфейсного модуля (для счетчиков наружной установки) и типом установленного дополнительного интерфейсного модуля (для счетчиков внутренней установки). Варианты исполнения счетчиков приведены в таблице 1. Варианты исполнения встроенного интерфейсного модуля приведены в таблице 2. Варианты исполнения дополнительных интерфейсных модулей приведены в таблице 3. Счётчики всех вариантов исполнения имеют оптический интерфейс.
Запись счетчика при его заказе и в конструкторской документации другой продукции должна состоять: из наименования счетчика, условного обозначения варианта исполнения счетчика и номера технических условий.
Пример записи счётчика - «Счётчик электрической энергии многофункциональный TE1000.XX.YY.ZZ ФРДС.411152.006ТУ», где XX - условное обозначение варианта исполнения счётчика в соответствии с таблицей 1,
YY - условное обозначение варианта исполнения встраиваемого интерфейсного модуля в счетчики наружной установки (таблица 2),
ZZ - условного обозначения дополнительного варианта исполнения интерфейсного модуля для счетчиков внутренней установки (таблица 3).
Пример записи счётчика - «Счётчик электрической энергии многофункциональный ТЕ1000.03.00.00 ФРДС.411152.006ТУ».
Таблица 1 - Варианты исполнения счетчиков
|
Условное обозначение счетчика |
Номинальный (максимальный) ток, А |
Номинальное напряжение, В |
Класс точности измерения активной/ реактивной энергии |
Реле |
Радиомодем |
|
Счетчики внутренней установки | |||||
|
ТЕ1000.00 |
5(100) |
230 |
1/1 |
+ |
+ |
|
ТЕ1000.01 |
5(100) |
1/1 |
- |
+ | |
|
ТЕ1000.02 |
5(100) |
1/1 |
+ |
- | |
|
ТЕ1000.03 |
5(100) |
1/1 |
- |
- | |
|
Счетчики наружной установки (Split) | |||||
|
ТЕ1000.40 |
5(100) |
230 |
1/1 |
+ |
+ |
|
ТЕ1000.41 |
5(100) |
1/1 |
- |
+ | |
|
ТЕ1000.42 |
5(100) |
1/1 |
+ |
- | |
|
ТЕ1000.43 |
5(100) |
1/1 |
- |
- | |
|
Счетчики для установки на DIN-рейку | |||||
|
ТЕ1000.60 |
5(80) |
230 |
1/1 |
+ |
+ |
|
ТЕ1000.61 |
5(80) |
1/1 |
- |
+ | |
|
ТЕ1000.62 |
5(80) |
1/1 |
+ |
- | |
|
ТЕ1000.63 |
5(80) |
1/1 |
- |
- | |
Таблица 2 - Типы встраиваемых интерфейсных модулей
|
Условное обозначение модуля |
Наименование |
|
00 |
Отсутствие интерфейсных модулей |
|
01 |
Коммуникатор GSM ТЕ101.02.01А, (сеть 2G) |
|
02 |
Модем PLC |
|
04 |
Коммуникатор 3G ТЕ101.03.01А, (сеть 2G+3G) |
|
05 |
Модем Ethernet* |
|
08 |
Модем ISM M-4.03T.0.102A (ZigBee 2400 МГц) |
|
10 |
Коммуникатор Wi-Fi ТЕ102.01.01А |
|
11 |
Коммуникатор 4G ТЕ101.04.01А, (сеть 2G+3G+4G) ** |
|
12 |
Коммуникатор 4G ТЕ101.04.01А/1 (сеть 2G+4G)*** |
|
13 |
Коммуникатор NBIoT ТЕ101.01.01А (сеть 2G+4G NBIoT) |
|
14 |
Коммуникатор NBIoT ТЕ101.01.01А/1 (сеть 4G только NBIoT) |
|
15 |
Модем LoRaWAN |
|
16 |
Модем Bluetooth |
|
Условное обозначение модуля |
Наименование |
|
17 |
Модем PLC/ISM ТЕ103.01.01А |
|
19 |
Коммуникатор 4G ТЕ101.04.01А/2 (сеть 2G+4G, нет CSD)*** |
|
20 |
Коммуникатор Wi-Fi ТЕ160.01.01А (Wi-Fi-Mesh) |
|
21 |
Модем G3 PLC (однофазный) |
|
* - Только для счетчиков внутренней установки * * - Максимальная скорость в сети 4G 150 Мбит/с * ** — Максимальная скорость в сети 4G 10 Мбит/с. В счетчики могут устанавливаться встраиваемые интерфейсные модули, не приведенные в таблице, производства ООО «ТехноЭнерго». | |
Таблица 3 - Типы устанавливаемых сменных дополнительных интерфейсных модулей для счетчиков внутренней установки (ТЕ1000.00 - ТЕ1000.03)
|
Условное обозначение модуля |
Наименование |
|
00 |
Отсутствие интерфейсных модулей |
|
01 |
Коммуникатор GSM ТЕ101.02.01 (сеть 2G) |
|
02 |
Модем PLC М-2.01(Т).01 (однофазный) |
|
04 |
Коммуникатор 3G ТЕ101.03.01 (сеть 2G+3G) |
|
05 |
Модем Ethernet М-3.01 Т.01 |
|
06 |
Модем ISM М-4.01(Т)^ (430 МГц) |
|
07 |
Модем ISM М-4.02(Т)^ (860 МГц) |
|
08 |
Модем ISM М-4.03Т.0.112 (2400 МГц) |
|
09 |
Модем оптический |
|
10 |
Коммуникатор Wi-Fi ТЕ102.01.01 |
|
11 |
Коммуникатор 4G ТЕ101.04.01 (сеть 2G+3G+4G)* |
|
12 |
Коммуникатор 4G ТЕ101.04.01/1 (сеть 2G+4G)** |
|
13 |
Коммуникатор NB-IoT ТЕ101.01.01 (сеть 2G+4G NB-IoT) |
|
14 |
Коммуникатор NB-IoT ТЕ101.01.01/1 (сеть 4G только NB-IoT) |
|
15 |
Модем LoRaWAN |
|
16 |
Модем Bluetooth |
|
17 |
Модем PLC/ISM ТЕ103.01.01 (однофазный) |
|
19 |
Коммуникатор 4G ТЕ101.04.01/2 (сеть 2G+4G, нет CSD)** |
|
20 |
Коммуникатор Wi-Fi ТЕ160.01.01 (Wi-Fi-Mesh) |
|
21 |
Модем G3 PLC (однофазный) |
|
Примечания 1 ZZ - вариант исполнения интерфейсного модуля 2 В счетчики могут устанавливаться дополнительные интерфейсные модули, не приведенные в данной таблице со следующими характеристиками: - при питании от внутреннего источника счетчика с напряжением 12 В потребляемый ток не должен превышать 200 мА; - при питании от внешнего источника величина напряжения изоляции цепей интерфейса RS-485 модуля от цепей электропитания должна быть 4000 В (среднеквадратическое значение в течение 1 минуты). 3 * Максимальная скорость в сети 4G 150 Мбит/с. 4 ** Максимальная скорость в сети 4G 10 Мбит/с. | |
Счётчики наружной установки вариантов исполнения 40-41 (таблица 1) должны
поставляться с терминалами в трех вариантах исполнения, что в явном виде указывается при заказе:
- ТЕ121.01 с питанием от сети переменного тока и с резервным питанием от двух
алкалиновых батарей или двух аккумуляторов типоразмера ААА;
- ТЕ121.01/1 без источника сетевого электропитания и с питанием только от двух
алкалиновых батарей или двух аккумуляторов типоразмера ААА;
- ТЕ121.03 с питанием только от двух алкалиновых батарей или двух
аккумуляторов типоразмера ААА или через разъем USB типа C.
Примеры записи счётчика
1 «Счётчик электрической энергии многофункциональный ТЕ1000.40.01.00
ФРДС.411152.006ТУ с терминалом ТЕ121.01»;
2 «Счётчик электрической энергии многофункциональный ТЕ1000.41.00.00
ФРДС.411152.006ТУ с терминалом ТЕ121.01/1»;
3 «Счётчик электрической энергии многофункциональный ТЕ1000.41.10.00
ФРДС.411152.006ТУ без терминала».
Счетчики всех вариантов исполнения работают как 4-х квадрантные измерители (четыре канала учета) активной и реактивной энергии и мощности прямого и обратного направления, имеют идентичные метрологические характеристики и единое программное обеспечение. Счетчики могут конфигурироваться для работы в однонаправленном режиме (три канала учета) и учитывать:
- активную энергию прямого и обратного направления, как активную энергию прямого направления (учет по модулю);
- реактивную энергию первого и третьего квадранта, как реактивную энергию прямого направления (индуктивная нагрузка);
- реактивную энергию четвертого и второго квадранта, как реактивную энергию обратного направления (емкостная нагрузка).
Тарификация и архивы учтенной энергии
Счетчики ведут многотарифный учет активной энергии и реактивной энергии прямого и обратного направления (четыре канала учета) в восьми тарифных зонах, по восьми типам дней в двенадцати сезонах. Дискрет тарифной зоны составляет 10 минут. Чередование тарифных зон в сутках ограничено числом десятиминутных интервалов в сутках и составляет 144 интервала. Тарификатор счётчика использует тарифное расписание, расписание праздничных дней и список перенесенных дней. Список перенесенных дней позволяет изменить тарификацию по типу дня, не изменяя тарифного расписания.
Счетчики ведут архивы тарифицированной учтенной энергии. Следующие архивы доступны через интерфейсы связи:
- всего от сброса (нарастающий итог);
- за текущие и предыдущие сутки;
- на начало текущих и предыдущих суток;
- за каждые предыдущие календарные сутки глубиной до 180 дней;
- на начало каждых предыдущих календарных суток глубиной до 180 дней;
- за текущий месяц и 36 предыдущих месяцев;
- на начало текущего месяца и 36 предыдущих месяцев;
- за текущий и 10 предыдущих лет;
- на начало текущего и 10 предыдущих лет.
В счетчиках может быть установлено начало расчетного периода отличное от первого числа месяца. При этом в месячных архивах энергии будет фиксироваться энергия за расчетный период и на начало расчетного периода, начинающиеся с установленного числа.
Профиль мощности нагрузки
Счетчики ведут четырехканальный базовый массив профиля мощности нагрузки с программируемым временем интегрирования от 1 до 60 минут для активной и реактивной мощности прямого и обратного направления. Глубина хранения массива профиля мощности составляет 113 суток при времени интегрирования 30 минут и 170 суток при времени интегрирования 60 минут.
Профиль параметров
Счетчики, наряду с базовым массивом профиля мощности нагрузки, ведут независимый массив профиля параметров (расширенный массив профиля или 2-й массив профиля) с программируемым временем интегрирования от 1 до 60 минут. Расширенный массив профиля может конфигурироваться в части выбора количества и типа профилируемых параметров, а также формата хранения данных. Число каналов расширенного массива профиля может программироваться в диапазоне от 1 до 24, а типы профилируемых параметров могут выбираться из таблицы 4 (кроме коэффициентов мощности и напряжения батареи). Кроме того, в расширенном массиве могут профилироваться все четыре мощности, как и в базовом массиве.
Измерение параметров сети и показателей качества электрической энергии
Счетчики измеряют мгновенные значения (время интегрирования 1 секунда) физических величин, характеризующих однофазную электрическую сеть, и могут использоваться как измерители параметров, приведенных в таблице 4, или как датчики параметров с нормированными метрологическими характеристиками.
Счетчики могут использоваться как измерители показателей качества электрической энергии (ПКЭ) по параметрам установившегося отклонения частоты сети и установившегося отклонения напряжения, по характеристикам провалов и перенапряжений согласно ГОСТ 32144-2013 для класса измерений S в соответствии с ГОСТ 30804.4.30-2013.
При выходе параметра за границу ПДЗ на индикаторе отображается сообщение о факте нарушения. При этом счётчик ведет журналы ПКЭ, в которых фиксируется время выхода/возврата за установленные верхние/нижние нормально/предельно допустимые границы установившихся отклонений напряжения и частоты, и журналы провалов и перенапряжений, где фиксируются остаточное напряжение или уровень перенапряжения и длительность. Доступ к журналам ПКЭ и журналам провалов и перенапряжений возможен только через интерфейсы связи.
Таблица 4 - Измеряемые параметры
|
Наименование параметра |
Цена единицы младшего разряда индикатора |
|
Активная мощность, Вт |
0,01 |
|
Реактивная мощность, вар |
0,01 |
|
Полная мощность, В-А |
0,01 |
|
Напряжение сети, В |
0,01 |
|
Напряжение встроенной батареи, В* |
0,01 |
|
Ток, А |
0,001 |
|
Коэффициент активной мощности cos ф |
0,01 |
|
Коэффициент реактивной мощности sin ф |
0,01 |
|
Коэффициент реактивной мощности tg ф |
0,01 |
|
Частота сети, Гц |
0,01 |
|
Текущее время, с |
1 |
|
Текущая дата | |
|
Температура внутри счетчика, °С* |
1 |
|
Наименование параметра |
Цена единицы младшего разряда индикатора |
|
Магнитная индукция внешнего происхождения, Тл* |
0,001 |
|
* - параметры справочные с не нормированными метрологическими характеристиками | |
Испытательный выход и цифровой вход
В счетчиках функционирует один изолированный испытательный выход, который может конфигурироваться:
- для формирования импульсов телеметрии одного из каналов учета энергии (активной, реактивной прямого и обратного направления и четырехквадрантной реактивной);
- для формирования сигнала индикации превышения программируемого порога мощности (активной, реактивной, прямого и обратного направления);
- для формирования сигнала телеуправления.
- для формирования сигнала управления нагрузкой по программируемым критериям.
- для формирования сигнала контроля точности хода встроенных часов.
В счетчиках внутренней установки функционирует один цифровой вход, который может конфигурироваться:
- для управления режимом поверки;
- для счета нарастающим итогом количества импульсов, поступающих от внешних устройств (по переднему, заднему фронту или обоим фронтам);
- как вход телесигнализации.
Управление нагрузкой
Счетчики позволяют управлять нагрузкой посредством встроенного реле управления нагрузкой и формировать сигнал управления нагрузкой на конфигурируемом испытательном выходе по различным программируемым критериям.
Встроенное реле имеет возможность блокировки срабатывания.
Журналы
Счетчики ведут журналы событий, журналы показателей качества электрической энергии, журналы превышения порога мощности, журналы провалов и перенапряжений, статусный журнал.
В журналах событий фиксируются времена начала/окончания следующих событий, перечисленных в таблице 5.
Таблица 5 - Журналы событий
|
Название журнала событий |
Глубина хранения | |
|
событий |
записей | |
|
1 Журнал выключения/включения счетчика |
100 |
50 |
|
2 Журнал вскрытия крышки зажимов |
100 |
50 |
|
3 Журнал вскрытия крышки интерфейсных соединителей и батареи |
100 |
50 |
|
4 Журнал вскрытия корпуса счетчика |
100 |
50 |
|
5 Журнал управления нагрузкой |
100 |
100 |
|
6 Журнал коррекции времени и даты |
200 |
100 |
|
7 Журнал коррекции активного тарифного расписания |
10 |
10 |
|
8 Журнал коррекции пассивного тарифного расписания |
10 |
10 |
|
9 Журнал коррекции расписания праздничных дней |
10 |
10 |
|
Название журнала событий |
Глубина хранения | |
|
событий |
записей | |
|
10 Журнал коррекции списка перенесенных дней |
10 |
10 |
|
11 Журнал коррекции расписания управления нагрузкой |
10 |
10 |
|
12 Дата и время последнего программирования |
1 |
1 |
|
13 Журнал перепрограммирования счетчика (фиксация факта связи со счетчиком, приведший к изменению данных) |
100 |
50 |
|
14 Журнал изменения состояния входов телесигнализации |
20 |
20 |
|
15 Журнал инициализации счетчика |
100 |
100 |
|
16 Журнал сброса показаний |
10 |
10 |
|
17 Журнал инициализации массива профиля мощности |
10 |
10 |
|
18 Журнал инициализации массива профиля параметров |
10 |
10 |
|
19 Журнал несанкционированного доступа к счетчику |
10 |
10 |
|
20 Журнал изменений параметров измерителя качества |
10 |
10 |
|
21 Журнал воздействия повышенной магнитной индукции |
100 |
50 |
|
22 Журнал превышения максимального тока в фазном проводе |
40 |
20 |
|
23 Журнал превышения максимального тока в нулевом проводе |
40 |
20 |
|
24 Журнал перепрограммирования параметров в протоколе СЭТ-4ТМ с указанием запроса |
100 |
100 |
|
25 Журнал перепрограммирования параметров в протоколе СПОДЭС с указанием OBIS-кода объекта и номера атрибута |
100 |
100 |
|
26 Журнал обновления метрологически не значимой части ПО |
20 |
20 |
|
27 Журнал HDLC коммуникаций |
100 |
100 |
|
28 Журнал изменения состояний выходов телеуправления и входов телесигнализации |
100 |
100 |
|
29 Журнал превышения тангенса (tg ф) |
100 |
50 |
|
30 Журнал времени калибровки счетчика |
10 |
10 |
|
31 Журнал изменения знака направления активной мощности в фазном проводе |
100 |
100 |
|
32 Журнал изменения знака направления активной мощности в нулевом проводе |
100 |
100 |
|
33 Журнал положительного и отрицательного отклонения напряжения за расчетный период |
100 |
50 |
|
34 Журнал очистки статистических таблиц ПКЭ |
10 |
10 |
|
35 Журнал воздействия магнитного поля по алгоритму ПАО «Россети» |
100 |
50 |
|
36 Журнал изменения паролей |
10 |
10 |
|
37 Журнал превышения дифференциального тока |
100 |
100 |
В журналах показателей качества электроэнергии фиксируются времена выхода/возврата за установленные границы параметров КЭ, усредненные в интервале времени (по умолчанию):
- 10 секунд для частоты сети.
- 10 минут для остальных параметров.
Перечень журналов ПКЭ и глубина хранения каждого журнала приведены в таблице 6.
|
Название журнала ПКЭ |
Глубина хранения | |
|
событий |
записей | |
|
1 Журналы выхода/возврата напряжения за верхнюю границу ПДЗ*. Положительное отклонение напряжения |
100 |
50 |
|
2 Журналы выхода/возврата напряжения за нижнюю границу ПДЗ*. Отрицательное отклонение напряжения |
100 |
50 |
|
3 Журналы выхода/возврата напряжения за верхнюю границу НДЗ* |
100 |
50 |
|
4 Журналы выхода/возврата напряжения за нижнюю границу НДЗ* |
100 |
50 |
|
5 Журналы выхода/возврата частоты за верхнюю границу ПДЗ*. Положительное отклонение частоты |
100 |
50 |
|
6 Журналы выхода/возврата частоты за нижнюю границу ПДЗ*. Отрицательное отклонение частоты |
100 |
50 |
|
7 Журналы выхода/возврата частоты за верхнюю границу НДЗ* |
100 |
50 |
|
8 Журналы выхода/возврата частоты за нижнюю границу НДЗ* |
100 |
50 |
|
* ПДЗ - предельно допустимое значение НДЗ - нормально допустимое значение | ||
Перечень журналов провалов и перенапряжений и глубина хранения каждого журнала приведены в таблице 7.
аблица 7 - Журналы провалов и перенапряжений
|
Название журнала ПКЭ |
Глубина хранения | |
|
событий |
записей | |
|
1 Журнал провалов и перенапряжений |
50 |
50 |
|
2 Журнал очистки статистической таблицы |
10 |
10 |
В журналах превышения порога мощности фиксируется время выхода/возврата за установленную границу среднего значения активной и реактивной мощности из первого массива профиля мощности. Глубина хранения журнала по каждой мощности 50 записей с фиксацией 100 событий.
В статусном журнале фиксируется время и значение измененного слова состояния счетчика. Глубина хранения статусного журнала 50 записей.
Устройство индикации
Счетчики внутренней установки (таблица 1), имеют жидкокристаллический индикатор (ЖКИ) для отображения учтенной энергии и измеряемых параметров и две кнопки управления режимами индикации. Счетчики наружной установки (таблица 1) не имеют собственного индикатора, и визуализация данных измерений счетчика производится через удаленный терминал ТЕ121.01 (ТЕ121.01/1, ТЕ121.03) подключаемый к счетчику по радиоканалу через встроенный радиомодем. Терминал счетчика имеет жидкокристаллический индикатор с подсветкой для отображения учтенной энергии и измеряемых параметров и кнопку управления режимами индикации.
Счетчики в режиме индикации основных параметров позволяют отображать на индикаторе:
- учтенную активную и реактивную энергию прямого и обратного направления по каждому из восьми тарифов и по сумме тарифов;
- число импульсов от внешних датчиков по цифровому входу.
Выбор требуемого режима индикации основных параметров осуществляется посредством кнопки управления в ручном режиме управления или автоматически с программируемым периодом в режиме динамической индикации.
В счетчиках предусмотрена конфигурируемая возможность возврата в заданный режим индикации при не активности кнопок управления в течение заданного времени.
Счетчики в режиме индикации вспомогательных параметров позволяют отображать на индикаторе данные вспомогательных режимов измерения, приведенных в таблице 4. Счетчики в режиме индикации технологических параметров позволяют отображать на индикаторе:
- версию программного обеспечения (ПО) (22.00.ХХ);
- контрольную сумму метрологически значимой части ПО (6818);
- загруженность процессора «EFF»;
- свободная память «FhP»;
- сетевой адрес «CA» короткий.
Интерфейсы связи
Счетчики, независимо от варианта исполнения, имеют оптический интерфейс (оптопорт), физические и электрические параметры которого соответствуют ГОСТ IEC 61107-2011. Наличие других интерфейсов связи определяется вариантом исполнения счетчика в соответствии с таблицами 1 - 3. В счетчик внутренней установки могут устанавливаться дополнительные интерфейсные модули в соответствии с таблицей 3 для обеспечения удаленного доступа к интерфейсу RS-485 счетчика через соответствующие сети (GSM (2G), UMTS (2G+3G), LTE (2G+3G+4G), LTE (2G+4G), LTE(2G+NBIoT), PLC, Ethernet, RF (ZigBee), Wi-Fi).
Счетчик через любой интерфейс связи (RS-485, оптопорт) поддерживает следующие протоколы обмена:
- ModBus-подобный, СЭТ-4ТМ.02 - совместимый протокол;
- СПОДЭС (DLMS/COSEM) с транспортным уровнем HDLC;
- Канальный пакетный протокол системы «Пирамида».
Счетчики по любому интерфейсу обеспечивают возможность считывания архивных данных и измеряемых параметров, считывания, программирования и перепрограммирования параметров.
- Счетчики обеспечивают возможность передачи сообщений в интеллектуальную систему учета при наступлении зарегистрированных событий и открытой сессии HDLC.
Работа со счетчиками через интерфейсы связи может производиться с применением программного обеспечения предприятия-изготовителя «Конфигуратор СЭТ-4ТМ» или с применением программного обеспечения пользователей.
Доступ к параметрам и данным со стороны интерфейсов связи защищен паролями на чтение, программирование и управление нагрузкой (три уровня доступа). Метрологические коэффициенты и заводские параметры защищены аппаратной перемычкой защиты записи (аппаратный уровень доступа) и не доступны без снятия пломб завода-изготовителя и нарушения знака поверки.
Защита от несанкционированного доступа
Для защиты от несанкционированного доступа в счетчике предусмотрена установка пломб ОТК завода-изготовителя и организации, осуществляющей поверку счетчика.
После установки на объект счетчики должны пломбироваться пломбами обслуживающей организации. Схема пломбирования счетчиков приведена на рисунках 1, 3, 2.
Кроме механического пломбирования в счетчике предусмотрено электронное пломбирование крышки зажимов, крышки батарейного отсека и крышки счетчика.
Электронные пломбы энергонезависимые, работают как во включенном, так и в выключенном состоянии счетчика. При этом факт и время вскрытия крышек фиксируется в соответствующих журналах событий без возможности инициализации журналов.
Счетчики содержат измеритель магнитного поля на основе датчика с заявленными метрологическими характеристиками для фиксации факта, величины и времени воздействия на счетчик переменного или постоянного магнитного поля повышенной индукции внешнего происхождения, превышающей установленное пороговое значение. Время начала и окончания воздействия фиксируется в журнале событий счетчика, а факт воздействия индицируется на ЖКИ.
Общий вид счетчиков внутренней установки (таблица 1), схема пломбировки от несанкционированного доступа, места нанесения знака поверки, знака утверждения типа и заводского номера представлен на рисунке 1.
Общий вид счетчиков установки на DIN рейку (таблица 1), схема пломбировки от несанкционированного доступа, места нанесения знака поверки, знака утверждения типа и заводского номера представлены на рисунке 2.
Общий вид счетчиков наружной установки (таблица 1), схема пломбировки от несанкционированного доступа, места нанесения знака поверки, знака утверждения типа и заводского номера представлены на рисунке 3.
Заводской номер, обеспечивающий однозначную идентификацию каждого экземпляра счетчика, наносится на лицевую панель счетчика методом лазерной маркировки в виде десятизначного цифрового кода и штрих кода, как показано на рисунках 1, 3, 2.
Знак утверждения типа наносится на лицевую панель счетчика методом лазерной маркировки, как показано на рисунках 1, 3, 2.
Знак поверки наносится давлением на навесную пломбу, расположенную в местах, указанных на рисунках 1, 3, 2.
На рисунке 3 приведен внешний вид удаленного терминала, который может входить в состав комплекта поставки счетчиков наружной установки.
Энерго ТЕ1000.02.08.01
СДЕЛАНО В РОССИИ 2020 г
СУТКИ OA3A 1
I «I
I.JJ кВт-ч
а 1 А ГОСТ 31819 21 • 2012
а. 1 R ГОСТ 31819 23 - 2012
ГОСТ 31818.11 -2012
IIIIIIIIIIW
N 220920000
Место нанесения
заводского номера
А=500 imp/(kW h)(kvar h) B=16000imp/(kW h)(kvar h) 230 V 5ИПСВА SO Hz
РЕЖИМ ИНД
ВОЗВРАТ
ИНД МОДЕМ
Пломба обслуживающей организации
Пломба с оттиском клейма ОТК
IIIIIIII'.....Vlllllf
I №42' .'46 ■
Место нанесения знака утверждения типа
SIM2
Э .МОДУЛЬ
■ Л* ° »о ю ТХ t RX 6-188 .*485
Пломба обслуживающей организации
Место пломбировки с нанесением знака поверки
Рисунок 1 - Общий вид счетчика внутренней установки с указанием мест пломбировки от несанкционированного доступа, мест нанесения знака утверждения типа, знака поверки, заводского номера
Пломба обслуживающей организации
Место пломбировки с нанесением знака поверки
Место нанесения
заводского номера
SS ™°0M0.10.00 lllllllllllli
Г*П гкТ”200^.6
нежим ИНД
ВОЗВРАТ
пеы.
Место нанесения
Пломба обслуживающей организации
2S0V ««>»* ц-160°0 «npfcW h 50 Hz
ИНД Q модем Q
знака
утверждения типа
Пломба с оттиском клейма ОТК
Рисунок 2 - Общий вид счетчика для установки на DIN-рейку с указанием мест пломбировки от несанкционированного доступа, мест нанесения знака утверждения типа, знака поверки, заводского номера
Пломба обслуживающей организации
22092 00014 TE1000.40.02.00
A» 500 imp/(fcw^Th imp/(kvar h) 230 V. 5(100) A, 50h!^^ СДЕЛАНО В РОССИИ
Cl. 1 А ГОСТ 31819.21-2012
нити i
X. 09200014
Место нанесения заводского номера
Место пломбировки с нанесением знака поверки
Место нанесения знака утверждения типа
I —
Терминал ТР1Э1 Л1
Пломба с оттиском клейма ОТК
ERI & и
НИМИ
i .* &
Рисунок 3 - Общий вид счетчика наружной установки с указанием мест пломбировки от несанкционированного доступа, мест нанесения знака утверждения типа, знака поверки, заводского номера
Программное обеспечение
Программное обеспечение (ПО) счетчика имеет структуру с разделением на метрологически значимую и метрологически незначимую части. Каждая структурная часть исполняемого кода программы во внутренней памяти микроконтроллера защищается циклической контрольной суммой, которая непрерывно контролируется системой диагностики счетчика.
Метрологические характеристики счетчика напрямую зависят от калибровочных коэффициентов, записанных в память счетчика на предприятии-изготовителе на стадии калибровки. Калибровочные коэффициенты защищаются циклической контрольной суммой, которая непрерывно контролируется системой диагностики счетчика. Метрологически значимая часть ПО и калибровочные коэффициенты защищены аппаратной перемычкой защиты записи и не доступны для изменения без вскрытия счетчика.
При обнаружении ошибок контрольных сумм (КС) системой диагностики устанавливаются флаги ошибок в слове состояния счетчика с записью события в статусный журнал счетчика и отображением сообщения об ошибке на экране ЖКИ:
Е-09 - ошибка КС метрологически не значимой части ПО;
Е-15 - ошибка КС метрологически значимой части ПО;
Е-10 - ошибка КС массива калибровочных коэффициентов.
Идентификационные характеристики ПО счетчика приведены в таблице 8. Номер версии ПО состоит из трех полей. Каждое поле содержит два символа:
- первой поле - код устройства (22 - ТЕ1000);
- второе поле - номер версии метрологически значимой части ПО (00);
- третье поле - номер версии метрологически незначимой части ПО.
Версия ПО счетчика и цифровой идентификатор ПО отображаются на табло ЖКИ в кольце индикации вспомогательных параметров. Метрологические характеристики нормированы с учетом влияния программного обеспечения.
Конструкция счетчиков исключает возможность несанкционированного влияния на ПО счетчика и измерительную информацию.
Уровень защиты программного обеспечения «высокий» в соответствии с Р 50.2.077-2014.
Таблица 8 - Идентификационные данные программного обеспечения
|
Идентификационные данные (признаки) |
Значение |
|
Идентификационное наименование ПО |
ТЕ 1000.tsk |
|
Номер версии (идентификационный номер) ПО |
22.00.ХХ |
|
Цифровой идентификатор ПО |
6818 |
|
Алгоритм вычисления цифрового ПО |
CRC 16 ModBus RTU |
Технические характеристики
Таблица 9 - Метрологические характеристики
|
Наименование характеристики |
Значение |
|
Класс точности при измерении в прямом и обратном направлении: - активной энергии по ГОСТ 31819.21-2012 - реактивной энергии по ГОСТ 31819.23-2012 |
1; 1 |
|
Базовый (максимальный) ток, А |
5(100), 5(80) |
|
Стартовый ток (чувствительность), мА |
20 (0,004I6) |
|
Максимальный ток в течение 10 мс, А |
30Ыакс |
|
Номинальные напряжения, В |
230 |
|
Установленный рабочий диапазон напряжений, В |
от 160 до 276 |
|
Предельный рабочий диапазон напряжений, В |
от 0 до 440 |
|
Номинальная частота сети, Гц |
50 |
|
Пределы допускаемой основной относительной погрешности измерения, %: - активной мощности (прямого и обратного направления при активной, индуктивной и емкостной нагрузках), 5P при 0,11б < I < 1макс, C0S9=1 при 0,21б < I < 1макс, ООЗф=0,5 при 0,051б < I < 0,1k, Goso=1 при 0,11б< I < 0,2k, счшэ=0,5 при 0,2k < I < !макс, со$ф=0,25 |
±1,0; ±1,0; ±1,5; ±1,5; ±3,5 |
|
Наименование характеристики |
Значение |
|
- реактивной мощности (прямого и обратного направления при активной, индуктивной и емкостной нагрузках), 5Q при 0,1Гб < I < 1макс, sino=l при 0,2Гб < I < 1макс, sin9=0,5 при 0,05k < I < 0,1k, sin9=1 при 0,11б< I < 0,2k, sw=0,5 при 0,2Гб < I < Ьмакс, sin9=0,25 - - полной мощности, 5s, (аналогично реактивной мощности); - - коэффициента активной мощности, 5kp - - коэффициента реактивной мощности, 5kQ - - коэффициента реактивной мощности, 5ktg |
±1,0; ±1,0; ±1,5; ±1,5; ±1,5; 5q; (5p+5s); (5Q+5s); (5Q+5p) |
|
Диапазон рабочих частот, Гц |
от 47,5 до 52,5 |
|
Средний температурный коэффициент в диапазоне температур от -40 до +70 °С, %/К при измерении активной и реактивной энергии и мощности: при 0,Иб < I < какс, cos9=1, sin9=1; при 0,2I6 < I < какс, cos9=0,5, sin9=0,5 |
0,05; 0,07 |
|
- Диапазон измеряемых частот, Гц |
от 42,5 до 57,5 |
|
- Пределы допускаемой абсолютной погрешности измерения частоты, Гц |
±0,05 |
|
Диапазон измерения отклонения частоты от 50 Гц, Гц |
от -7,5 до +7,5 |
|
Пределы допускаемой абсолютной погрешности измерения отклонения частоты, Гц |
±0,05 |
|
Диапазон измерения среднеквадратического значения напряжения, В |
от 160 до 276 |
|
- Пределы допускаемой относительной погрешности измерения среднеквадратического значения напряжения, 5u,% |
±0,5 |
|
Диапазон измерения положительного отклонения среднеквадратического значения напряжения (5U(+)), % |
от 0 до +20 |
|
Диапазон измерения отрицательного отклонения среднеквадратического значения напряжения (5U<-)), % |
от 0 до +30 |
|
Пределы допускаемой абсолютной погрешности измерения положительного и отрицательного отклонений среднеквадратического значения напряжения, % |
±0,5 |
|
Диапазон измерения угла фазового сдвига между напряжением и током (фит), ° |
от -180 до +180 |
|
Пределы допускаемой абсолютной погрешности измерения угла фазового сдвига между напряжением и током, °: при 0,1k < I < Гмакс при 0,05k < Г < 0,1Гб |
±2 ±5 |
|
Диапазон измерения среднеквадратического значения тока (I), А |
от 0,05Гб до Гмакс |
|
Пределы допускаемой относительной погрешности измерения среднеквадратического значения тока, %: при 0,1k < I < 1макс при 0,05Гб < I < 0,1k |
±0,9; ± 0,9 + 0,05| -11 L < Ix Л1 |
|
Наименование характеристики |
Значение |
|
Диапазон измерения длительности провала напряжения (Atn), с |
от 0,02 до 60 |
|
Пределы допускаемой абсолютной погрешности измерения длительности провала напряжения, с |
±0,02 |
|
Диапазон измерения глубины провала напряжения (5Uh), %, |
от 10 до 30 |
|
Пределы допускаемой абсолютной погрешности измерения глубины провала напряжения, % |
±1,0 |
|
Диапазон измерения длительности временного перенапряжения (А^ер U), с |
от 0,02 до 60 |
|
Пределы допускаемой абсолютной погрешности измерения длительности временного перенапряжения, с |
±0,02 |
|
Диапазон измерения значения перенапряжения, (5иПер), % опорного напряжения |
от 110 до 120 |
|
Пределы допускаемой абсолютной погрешности измерения значения перенапряжения, % опорного напряжения |
±1,0 |
|
Пределы допускаемой дополнительной погрешности измерения частоты, напряжения и тока в диапазоне температур от -40 до +70 °С, 51д, % |
0,055д^ -123 )* |
|
Точность хода встроенных часов при температуре (23±2)°С во включенном и выключенном состоянии, с/сут |
±0,5 |
|
Изменение точности хода часов в диапазоне рабочих температур, с/°С /сут: - - во включенном состоянии в диапазоне температур от -40 до +70 °С - - в выключенном состоянии в диапазоне температур от -40 до +70 °С |
±0,1; ±0,22 |
|
Постоянная счетчика, имп./(кВт-ч), имп./(квар-ч): - в основном режиме (А) - режиме поверки (В) |
500; 16000 |
|
Нормальные условия измерений: - - температура окружающего воздуха, °С - - относительная влажность, % - - атмосферное давление, кПа |
23±2; от 30 до 80; от 84 до 106 |
|
* где 5д - пределы допускаемой основной погрешности измеряемой величины, t - температура рабочих условий, t23 — температура +23 °С | |
Таблица 10 - Основные технические характеристики
|
Наименование характеристики |
Значение |
|
Полная мощность, потребляемая каждой последовательной цепью, ВА, не более |
0,1 |
|
Активная (полная) мощность, потребляемая параллельной цепью напряжения, Вт (В-А), не более: - счетчиков с интерфейсом RS-485 - счетчиков со встроенными модемами |
2(10); 3(15) |
|
Начальный запуск счетчика, с, менее |
5 |
|
Наименование характеристики |
Значение |
|
Жидкокристаллический индикатор: - число индицируемых разрядов - цена единицы младшего разряда при отображении энергии нарастающего итога, кВт-ч (квар-ч) |
8; 0,01 |
|
Тарификатор: - число тарифов - число тарифных зон в сутках с дискретом 10 минут - число типов дней - число сезонов |
8; 144; 8; 12 |
|
Скорость обмена, бит/с - по оптическому порту (фиксированная) - по порту RS-485 - по радиоканалу |
9600, нечет; от 300 до 9600 с битом контроля нечетности и без него; 38400 |
|
- Скорость передачи данных в электрической сети, модуляция DCSK, бит/с |
2400 |
|
- Характеристики испытательных выходов: - количество испытательных изолированных конфигурируемых выходов - максимальное напряжение в состоянии «разомкнуто», В - максимальный ток в состоянии «замкнуто», мА - выходное сопротивление: - в состоянии «разомкнуто», кОм, не менее - в состоянии «замкнуто», Ом, не более |
1; 30; 50; 50; 200 |
|
- Сохранность данных при прерываниях питания, лет: - информации, более - внутренних часов (питание от батареи), не менее |
40; 16 |
|
- Защита информации |
пароли двух уровней доступа, отдельный пароль для управления нагрузкой и аппаратная защита памяти метрологических коэффициентов |
|
- Самодиагностика |
циклическая, непрерывная |
|
- Масса, кг, не более: - счетчиков внутренней установки - счетчиков наружной установки - счётчика установки на DIN-рейку |
1,0; 1,0; 0,7 |
|
Габаритные размеры, мм, не более: - счетчиков внутренней установки - высота - длина - ширина - счетчиков наружной установки - - высота - - длина - - ширина |
202; 140; 76; 239; 183; 78; |
|
Наименование характеристики |
Значение |
|
- счетчиков установки на DIN-рейку - высота - длина - ширина - счетчиков наружной установки со швеллером крепления на опоре - высота - длина - ширина |
150; 126; 72; 350; 183; 98 |
|
- Условия эксплуатации счетчиков внутренней установки: - температура окружающего воздуха, °С - относительная влажность при +30 °С, % - атмосферное давление, кПа (мм рт. ст.) |
от -40 до +70; до 90; от 70 до 106,7 (от 537 до 800) |
|
- Условия эксплуатации счетчиков наружной установки: - температура окружающего воздуха, °С - относительная влажность при +25 °С, % - атмосферное давление, кПа (мм рт. ст.) |
от -40 до +70; до 100; от 70 до 106,7 (от 537 до 800) |
|
- Степень защищенности корпуса от проникновения воды и внешних твердых предметов ГОСТ 14254-2015 - счетчиков внутренней установки и установки на DIN-рейку - счетчиков наружной установки |
IP51; IP55 |
Таблица 11 - Показатели надежности
|
Наименование характеристики |
Значение |
|
Средняя наработка до отказа, ч |
220000 |
|
Средний срок службы, лет |
30 |
|
Время восстановления, ч |
2 |
Знак утверждения типа
наносится на панели счетчиков методом офсетной печати или лазерной маркировки и в эксплуатационной документации на титульных листах типографским способом.
Комплектность
Таблица 12 - Комплект счетчиков
|
Наименование и условное обозначение |
Обозначение документа |
Количество |
|
Счётчик электрической энергии многофункциональный ТЕ1000.__.__.__(одно из исполнений) |
1 шт. | |
|
Формуляр ТЕ1000. Часть 1 |
ФРДС.411152.006ФО |
1 экз. |
|
Формуляр ТЕ1000. Часть 2 |
ФРДС.411152.006ФО11) |
1 экз. |
|
Руководство по эксплуатации ТЕ1000. Часть 1 |
ФРДС.411152.006РЭ1) |
1 экз. |
|
Руководство по эксплуатации ТЕ1000. Часть 2. Методика поверки |
ФРДС.411152.006РЭ11) |
1 экз. |
|
Наименование и условное обозначение |
Обозначение документа |
Количество |
|
Руководство по эксплуатации ТЕ1000. Часть 3. Дистанционный режим |
ФРДС.411152.006РЭ21) |
1 экз. |
|
Программное обеспечение «Конфигуратор СЭТ-4ТМ» версии не ниже 18.05.21 |
ФРДС.00004-011) |
1 шт. |
|
Индивидуальная упаковка ТЕ1000.00- ТЕ1000.03 |
ФРДС.411915.048 |
1 шт. |
|
Индивидуальная упаковка ТЕ1000.60- ТЕ1000.63 |
ФРДС.411915.046 |
1 шт. |
|
Индивидуальная упаковка ТЕ1000.40- ТЕ1000.43 |
ФРДС.411915.044 |
1 шт. |
|
Терминал ТЕ121.01 (ТЕ121.01/1, ТЕ121.03) с формуляром |
ФРДС.468369.0112) |
1 шт. |
|
Комплект монтажных частей для терминала: | ||
|
Рейка |
ФРДС.745213.003-022) |
1 шт. |
|
Пластина переходная |
ФРДС.745532.0052) |
1 шт. |
|
Комплект монтажных частей: |
ФРДС.411911.0032) | |
|
Швеллер |
ФРДС.745342.0012) |
1 шт. |
|
Планка |
ФРДС.745374.0022) |
1 шт. |
|
Винт В2.М4-6дх10.32.ЛС59-1.136 ГОСТ 17473-802) |
2 шт. | |
|
Шайба 4Л 34.БрКМц3-1.136 ГОСТ 6402-702) |
2 шт. | |
|
Дюбель-гвоздь фасадный KAT N 10*1003) |
2 шт. | |
|
Рейка (ТЕ1000.60 - ТЕ1000.63) |
ФРДС.745213.003-044) |
1 шт. |
|
Этикетка |
ФРДС.754463.1255) |
1 шт. |
|
Примечания 1 1) Документы в электронном виде, включая сертификаты и ПО «Конфигуратор СЭТ-4ТМ», доступны на сайте предприятия-изготовителя по адресу https://te-nn.ru/. 2 Для счетчиков с установленным дополнительным интерфейсным модулем в комплект поставки входит формуляр из комплекта поставки модуля. Руководство по эксплуатации модуля доступно на сайте предприятия-изготовителя по адресу https://te-nn.ru/. 3 Эксплуатационная документация на счетчик, терминал и дополнительный модуль на бумажном носителе или флеш-накопителе поставляются по отдельному заказу. 4 2) Поставляются со счетчиками наружной установки. Терминал поставляется со счётчиками наружной установки ТЕ1000.40 и ТЕ1000.41 в трех вариантах исполнения, что в явном виде указывается при заказе. Терминал может иметь другой тип или не входить в состав комплекта поставки по отдельному заказу. 5 3) Поставляются со счетчиками ТЕ1000.40- ТЕ1000.43 по отдельному заказу. 6 4) Поставляется со счетчиками ТЕ1000.60- ТЕ1000.63 по отдельному заказу. 7 Ремонтная документация разрабатывается и поставляется по отдельному договору с организациями, проводящими послегарантийный ремонт счетчиков. 8 5) Этикетка самоклеящаяся с нанесенным логотипом ПАО «Россети» и телефоном Единого контакт-центра 8-800-220-0-220 поставляется по отдельному заказу. | ||
Сведения о методах измерений
приведены в эксплуатационном документе ФРДС.411152.006РЭ «Счетчик электрической энергии многофункциональный ТЕ1000. Руководство по эксплуатации. Часть 1».
Раздел 2 Описание счетчика и принципа его работы.
Нормативные документы
ГОСТ 31818.11-2012 «Аппаратура для измерения электрической энергии переменного тока. Общие требования. Испытания и условия испытаний. Часть 11. Счетчики электрической энергии»
ГОСТ 31819.21-2012 «Аппаратура для измерения электрической энергии переменного тока. Частные требования. Часть 21. Статические счетчики активной энергии классов точности 1 и 2»
ГОСТ 31819.23-2005 «Аппаратура для измерения электрической энергии переменного тока. Частные требования. Часть 23. Статические счетчики реактивной энергии»
ГОСТ 30804.4.30-2013 «Электрическая энергия. Совместимость технических средств электромагнитная. Методы измерений показателей качества электрической энергии»
ФРДС.411152.006ТУ «Счетчики электрической энергии многофункциональные ТЕ1000. Технические условия»


