97486-26: Система измерительная установки компримирования газа ООО «ЛУКОЙЛ-Волгограднефтепереработка» ТПП по газопереработке в г. Котово - Производители, поставщики и поверители

Система измерительная установки компримирования газа ООО «ЛУКОЙЛ-Волгограднефтепереработка» ТПП по газопереработке в г. Котово

ALL-Pribors default picture
Номер в ГРСИ РФ: 97486-26
Производитель / заявитель: ООО "ЛУКОЙЛ-Волгограднефтепереработка", г.Волгоград
Скачать
97486-26: Описание типа
2026-97486-26-1.pdf
Скачать 197.7 КБ
97486-26: Методика поверки МП-808-2025
2026-mp97486-26-1.pdf
Скачать 3.2 MБ
Нет данных о поставщике
Поверка
Система измерительная установки компримирования газа ООО «ЛУКОЙЛ-Волгограднефтепереработка» ТПП по газопереработке в г. Котово поверка на: www.ktopoverit.ru
КтоПоверит
Онлайн-сервис метрологических услуг

Система измерительная установки компримирования газа

Информация по Госреестру

Основные данные
Номер по Госреестру 97486-26
Наименование Система измерительная установки компримирования газа ООО «ЛУКОЙЛ-Волгограднефтепереработка» ТПП по газопереработке в г. Котово
Приказы
98 от 22.01.2026 — Об утверждении типов средств измерений
Код идентификации производства ОС
СИ не соответствует критериям подтверждения производства на территории РФ в соответствии с постановлением №719
Характер производства Единичное
Идентификатор записи ФИФ ОЕИ b3a34638-9e56-3d30-20bb-af88ddd5bbd0
Испытания
Дата Модель Заводской номер
17.10.2025 06
Производитель / Заявитель

ООО «ЛУКОЙЛ-Волгограднефтепереработка», РОССИЯ, 400029, Волгоградская обл., г. Волгоград, ул. 40 лет ВЛКСМ, д. 55

Поверка

Методика поверки / информация о поверке
МП-808-2025 Государственная система обеспечения единства измерений. Система измерительная установки компримирования газа ООО «ЛУКОЙЛ-Волгограднефтепереработка» ТПП по газопереработке в г. Котово. Методика поверки (с 22.01.2026)
Межповерочный интервал / Периодичность поверки
1 год
Зарегистрировано поверок
Найдено поверителей
Успешных поверок (СИ пригодно) 2 (100%)
Неуспешных поверок (СИ непригодно) 0 (0 %)
Актуальность информации 29.03.2026
Найти результаты поверки
Указан в паспорте или на самом приборе

Поверители

КтоПоверит
Онлайн-сервис метрологических услуг
Система измерительная установки компримирования газа ООО «ЛУКОЙЛ-Волгограднефтепереработка» ТПП по газопереработке в г. Котово поверка на: www.ktopoverit.ru
КтоПоверит
Онлайн-сервис метрологических услуг

Скачать

97486-26: Описание типа
2026-97486-26.pdf Файл устарел
Скачать 197.7 КБ
97486-26: Методика поверки МП-808-2025
2026-mp97486-26.pdf Файл устарел
Скачать 3.2 MБ
97486-26: Описание типа
2026-97486-26-1.pdf
Скачать 197.7 КБ
97486-26: Методика поверки МП-808-2025
2026-mp97486-26-1.pdf
Скачать 3.2 MБ

Описание типа

Назначение

Система измерительная установки компримирования газа ООО «ЛУКОЙЛ-Волгограднефтепереработка» ТПП по газопереработке в г. Котово (далее - ИС) предназначена для измерений параметров технологического процесса (температуры, давления, перепада давления, уровня, объемного расхода, массового расхода), напряжения (температуры), силы постоянного тока, формирования аналоговых сигналов управления и регулирования.

Описание

Принцип действия ИС основан на непрерывном измерении, преобразовании и обработке при помощи систем I/A Series (регистрационный номер в Федеральном информационном фонде по обеспечению единства измерений (регистрационный номер 14810-05) (далее - I/A Series), контроллеров ControlLogix комплекса измерительно-вычислительного и управляющего на базе платформы Logix (регистрационный номер 42664-09) (далее - Logix), входных сигналов, поступающих по измерительным каналам (далее - ИК) от первичных и промежуточных измерительных преобразователей (далее - ИП).

ИС осуществляет измерение параметров технологического процесса следующим образом:

- первичные ИП преобразуют текущие значения параметров технологического процесса в аналоговые электрические сигналы силы постоянного тока от 4 до 20 мА, сигналы термопреобразователей сопротивления и термопар;

- аналоговые электрические сигналы силы постоянного тока от 4 до 20 мА от первичных ИП поступают на входы преобразователей измерительных MTL 4000, MTL 5000 (регистрационный номер 27555-09) моделей MTL4041B (далее - MTL4041B), MTL5042 (далее - MTL5042), или на входы пассивных искробезопасных барьеров MTL7787+ (далее - MTL7787+), или на входы барьеров искрозащиты серии Z (регистрационный номер 22152-07) моделей Z887 (далее - Z887), и далее на входы измерительных модулей 200 FMB201, FMB204, FMB211 I/A Series (далее - FMB), или комплексов измерительно-вычислительных для мониторинга работающих механизмов серии 3500 (регистрационный номер 72684-18) модификации 3500/64 (далее - 3500/64), или измерительного модуля Triconex модификации 3351 (далее - Triconex) или вычислителей расхода газа Solartron серии 7956 (далее - Solartron 7956);

- аналоговые электрические сигналы силы постоянного тока от 4 до 20 мА от первичных ИП поступают на входы измерительных модулей FMB, I/A Series FMB208 (далее - FMB208), I/A Series 1756-IF16 Logix (далее - 1756-IF16), 1797-EI8 Logix (далее - 1797-EI8), или 1794-IE8 Logix (далее - 1794-IE8), электронного блока управления ECU (далее - ECU);

- сигналы термопреобразователей сопротивления и термопар от первичных ИП поступают на входы преобразователей измерительных для термопар и термопреобразователей сопротивления с гальванической развязкой (барьеры искрозащиты) серии K модели KFD2-UT-Ex1 (регистрационный номер 22149-14) (далее - KFD2-UT-Ex1), или барьеров искрозащиты серии Z (регистрационный номер 22152-07) моделей Z896 (далее - Z896), или MTL4041B, или MTL5042, или MTL7787+, и далее на входы FMB, или 1756-IF16, или 1794-IE8, Triconex или Solartron 7956;

- сигналы термопреобразователей сопротивления и термопар от первичных ИП поступают на входы 1797-IRT8 Logix (далее - 1797-IRT8), FMB или ECU.

Цифровые коды, преобразованные посредством модулей ввода аналоговых сигналов в значения физических параметров технологического процесса, отображаются на мнемосхемах мониторов операторских станций управления в виде числовых значений, гистограмм, трендов, текстов, рисунков и цветовой окраски элементов мнемосхем, а также интегрируются в базу данных ИС.

Для выдачи управляющих воздействий используются модули дискретного вывода FBM241C I/A Series, FBM207b I/A Series, Allen-Bradley 1756-OB32/A, Allen-Bradley 1756-IB32/B и модули аналогового вывода Allen-Bradley 1756-OF8/A, Allen-Bradley 1756-OF8 A, Allen-Bradley 1756-IF16 A (далее - AB).

Состав средств измерений, применяемых в качестве первичных ИП ИК, указан в таблице 1.

Таблица 1 - Средства измерений, применяемые в качестве первичных ИП ИК

Наименование ИК

Первичный ИП

Регистрационный номер

ИК температуры

Термопреобразователи сопротивления платиновые модель 65 (далее -ТС 65)

22257-01

Преобразователи измерительные модель 644 (далее - Pt100 644)

14683-04

Термометры сопротивления платиновые модель MW-GOI (далее - ТС MW)

44372-10

Термопреобразователи с унифицированным выходным сигналом ТСПУ 902820 (далее - ТСПУ 902820)

32460-06

Преобразователи измерительные сигналов от термопар и термопреобразователей сопротивления модель dTRANS Т01 (далее -dTRANS Т01)

24931-03

Преобразователи термоэлектрические серии 185 (далее - ПТ 185)

22259-01

Преобразователи термоэлектрические серии ТС модель CT 4012 G/3 (далее - CT 4012 G/3)

53491-13

Преобразователи термоэлектрические серии ТС модель 64/51004015/9 (далее - 64/51004015/9)

53491-13

Термопреобразователи с унифицированным выходным сигналом модель ТСМУ-3213 (далее - ТСМУ-3213)

18849-99

Термопреобразователи сопротивления платиновые серии TR модификации ТR10 (далее - ТR10)

26239-06

Преобразователи термоэлектрические серии ТС модификации ТС-47 (далее - ТС-47)

66083-16

Термопреобразователи сопротивления платиновые MINCO (далее - ТС Minco)

96551-25

Продолжение таблицы 1

Наименование ИК

Первичный ИП

Регистрационный номер

ИК давления

Преобразователи давления измерительные модель 3051 (далее - ПД 305)

14061-04

Преобразователи давления измерительные Р модели РТХ 600, РТХ 7500 (далее - РТХ)

16346-03

Преобразователи давления измерительные серии 3051S (далее - ПД 3051S R)

24116-02

Преобразователи давления измерительные серии 3051S (далее - ПД 3051S E)

66525-17

ИК перепада давления

Преобразователи давления измерительные модель 3051 (далее - ПД 3051)

14061-04

Датчики давления модель 1151 (далее - Rosemount 1151)

13849-99

Преобразователи давления    измерительные    модель    TX

(далее - STX)

16345-03

Преобразователи давления измерительные модель 2600T модификации 264DS (далее - 2600T)

25931-03

Датчики давления модель Метран-150 (далее - Метран-150)

32854-13

Преобразователи давления измерительные модель 3051S (далее - ПД 3051S R)

24116-02

ИК массового расхода

Счетчики-расходомеры   массовые модель Micro Motion

(далее - Micro Motion R)

45115-16

Расходомеры-счетчики массовые модель Thermatel         Enhanced

модификации TA2 (далее - Thermatel TA2)

48222-11

ИК объёмного расхода

Счетчики-расходомеры модель Admag (модификации AXF) (далее -ADMAG AXF)

17669-04

Ротаметры модель Н 250 (далее - H 250)

19712-02

ИК уровня

Уровнемеры байпасные поплавковые (далее - BLE)

28258-04

ИС выполняет:

- автоматизированное измерение, регистрацию, обработку, контроль, хранение и индикацию параметров технологического процесса;

- предупредительную и аварийную сигнализацию при выходе параметров технологического процесса за установленные границы и при обнаружении неисправности в работе оборудования;

- управление технологическим процессом в реальном масштабе времени;

- противоаварийную защиту оборудования установки;

- отображение технологической и системной информации на операторской станции управления;

- самодиагностику;

- автоматическое составление отчетов и рабочих (режимных) листов;

- защиту системной информации от несанкционированного доступа к программным средствам и изменения установленных параметров.

К данному типу средства измерений относится ИС c заводским номером 06.

Пломбирование ИС не предусмотрено.

Конструкция ИС и условия эксплуатации ИС не предусматривают нанесение знака поверки непосредственно на ИС.

Заводской номер ИС в виде цифрового обозначения, состоящего из арабских цифр, нанесен типографским способом на маркировочную табличку, расположенную на шкафу

вторичной части ИК ИС, и в паспорте ИС. Общий вид маркировочной таблички представлен на рисунке 1.

ООО «ЛУКОЙЛ-Волгограднефтепереработка»

Система измерительная установки компримирования газа ООО «ЛУКОЙЛ-Волгограднефтепереработка» ТПП по газопереработке в г. Котово

Заводской номер: 06Изготовитель: ООО «ЛУКОЙЛ-Волгограднефтепереработка»

Рисунок 1 - Общий вид маркировочной таблички

Программное обеспечение

Программное обеспечение (далее - ПО) ИС обеспечивает реализацию функций ИС.

Защита ПО ИС от непреднамеренных и преднамеренных изменений и обеспечение его соответствия утвержденному типу осуществляется путем идентификации, защиты от несанкционированного доступа.

ПО ИС защищено от несанкционированного доступа, изменения алгоритмов и установленных параметров путем введения логина и пароля, ведения доступного только для чтения журнала событий.

Уровень защиты ПО ИС «высокий» в соответствии с Р 50.2.077-2014.

Идентификационные данные ПО ИС приведены в таблице 2.

Таблица 2 - Идентификационные данные ПО ИС

Идентификационные данные (признаки)

Полевые датчики и турбоагрегаты

Идентификационное наименование ПО

IACC

RSLogix 5000

Номер версии (идентификационный номер) ПО

2.8.1

V8.02.00

Цифровой идентификатор ПО

_

_

Технические характеристики

Метрологические характеристики ИК ИС приведены в таблице 3.

Таблица 3 - Метрологические характеристики

Метрологические характеристики ИК

Метрологические характеристики измерительных компонентов ИК

П

ервичный ИП

Вторичная часть

Наименование ИК

Диапазоны измерений

Пределы допускаемо й основной погрешност и

Тип (выходной сигнал)

Пределы допускаемой основной погрешности

Тип барьера искро-защиты

Тип модуля ввода/ вывода

Пределы допускаемой основной погрешности измерений

ИК температуры

от -40 °C до +60 °С

Л: ±0,38 °С

ТС 65 (НСХ Pt100); Pt100 644 (от 4 до 20 мА)

ТС 65:

Д: ±(0,15+0,002-|t|) °С;

Pt100 644:

Д: ±(0,15+0,0003^t) °С

MTL4041B

FBM

у: ±0,13 %

от -40 °C до +65 °С

Л: ±0,40 °С

от -40 °C до +70 °С

Л: ±0,41 °С

от -40 °C до +80 °С

Л: ±0,43 °С

от -40 °C до +220 °С

Л: ±0,79 °С

от -40 °C до +420 °С

Л: ±1,31°С

от -10 °C до +60 °С

Л: ±0,37 °С

от -10 °C до +70 °С

Л: ±0,39 °С

от -10 °C до +150 °С

Л: ±0,59 °С

от 0 °C до +130 °С

Л: ±0,53 °С

от -40 °C до +220 °С

Л: ±0,90 °С

MTL5042

у: ±0,25 %

от -40 °C до +150 °С

Л: ±0,55 °С

_

у: ±0,03 %

от -50 °C до +100 °С

Л: ±1,71 °С

ECU

у: ± 1,00 %

от -40 °C до +220 °С

Л: ± 1,00 °С

MTL5042

Triconex

у: ±0,25 %

от -5 °C до +80 °С

Л: ±0,43 °С

ТС MW (НСХ Pt100); Pt100 644 (от 4 до 20 мА)

ТС MW:

Д: ±(0,15+0,002-|t|) °С;

Pt100 644:

Д: ±(0,15+0,0003^t) °С

Z896

1756-IF16

у: ±0,20 %

от -5 °C до +220 °С

Л: ±0,84 °С

от 0 °C до +220 °С

Л: ±0,84 °С

Метрологические характеристики ИК

Метрологические характеристики измерительных компонентов ИК

П

ервичный ИП

Вторичная часть

Наименование ИК

Диапазоны измерений

Пределы допускаемо й основной погрешност и

Тип (выходной сигнал)

Пределы допускаемой основной погрешности

Тип барьера искро-защиты

Тип модуля ввода/ вывода

Пределы допускаемой основной погрешности измерений

ИК температуры

от -40 °C до +50 °С

Л: ±0,34 °С

ТСПУ 902820 (НСХ Pt100); dTRANS Т01 (от 4 до 20 мА)

ТСПУ 902820:

Д: ±0,2 °С; dTRANS Т01:

Д: ±0,2 °С

MTL4041B

FBM

у: ±0,13 %

от -40 °C до +60 °С

Л: ±0,34 °С

от -10 °C до +60 °С

Л: ±0,33 °С

от -10 °C до +150 °С

Л: ±0,38 °С

от 0 °C до +150 °С

Л: ±0,38 °С

от -10 °C до +150 °С

Л: ±0,32 °С

_

у: ±0,03 %

от -40 °C до +650 °С

Л: ±3,02 °С

ПТ 185 (НСХ K)

Д: ±1,5 °С (от -40 °С до +375 °С включ.);

Д: ±0,004-|t|, °С (св. +375 °С до +1000 °С)

MTL4041B

FBM

Д: ±0,89 °С

от -40 °C до +100 °С

Л: ±2,81 °С

Д: ±2,5 °С (от -40 °С до +333 °С включ.)

_

1797-IRT8

Д: ±0,52 °С

от -40 °C до +150 °С

Л: ±2,81 °С

Д: ±0,53 °С

от -40 °C до +250 °С

Л: ±2,82 °С

CT 4012 G/3 (НСХ K)

Д: ±2,5 °С

_

1797-IRT8

Д: ±0,58 °С

от -10 °C до +60 °С

Л: ±0,56 °С

ТСМУ-3213 (от 4 до 20 мА)

Д: ±0,5 °С

MTL4041B

FBM

у: ±0,13 %

от -50 °C до +100 °С

Л: ±0,55 °С

TR10 (НСХ Pt100)

Д: ±(0,15+0,002-|t|) °С

KFD2-UT-

Ex1

1794-IE8

Д: ±0,35 °С

Метрологические характеристики ИК

Метрологические характеристики измерительных компонентов ИК

П

ервичный ИП

Вторичная часть

Наименование ИК

Диапазоны измерений

Пределы допускаемо й основной погрешност и

Тип (выходной сигнал)

Пределы допускаемой основной погрешности

Тип барьера искро-защиты

Тип модуля ввода/ вывода

Пределы допускаемой основной погрешности измерений

ИК температуры

от -40 °C до +100 °С

Л: ±2,81 °С

64/51004015/9 (НСХ K)

Д: ±2,5 °С (от -40 °С до +333 °С включ.);

Д: ±0,0075-|t| °С (св. +333 °С до +1200 °С)

_

1797-IRT8

Д: ±0,52 °С

от -40 °C до +250 °С

Л: ±2,82 °С

Д: ±0,58 °С

от -40 °C до +1000 °С

Л: ±8,35 °С

Д: ±1,15 °С

от -40 °C до +100 °С

Л: ±2,81 °С

ТС-47 (НСХ K)

Д: ±2,5 °С (от -40 °С до +333 °С включ.);

Д: ±0,0075-|t| °С (св. +333 °С до +1200 °С)

_

1797-IRT8

Д: ±0,52 °С

от -40 °C до +1200 °С

Л: ±10,01 °С

Д: ±1,34 °С

от -50 °C до +150 °С

Л: ±1,72 °С

ТС Minco (НСХ Pt100)

Д: ±1,5 °С

KFD2-UT-

Ex1

1794-IE8

Д: ±0,45 °С

ИК давления

от 0 до 25 кПа;

от 0 до 100 кПа;

от 0 до 250 кПа;

от 0 до 400 кПа

у: ±0,18 %

ПД 3051 (от 4 до 20 мА)

у: ±0,065 %

_

1756-IF16

у: ±0,15 %

от 0 до 700 кПа;

от 0 до 1000 кПа;

от 0 до 1200 кПа;

от 0 до 1600 кПа;

от 0 до 2000 кПа;

от 0 до 2500 кПа;

от 0 до 2800 кПа;

от 0 до 3500 кПа;

от 0 до 4500 кПа;

от 0 до 5000 кПа

у: ±0,16 %

ПД 3051S_R (от 4 до 20 мА)

у: ±0,065 %

MTL4041B

FBM

у: ±0,13 %

Метрологические характеристики ИК

Метрологические характеристики измерительных компонентов ИК

П

ервичный ИП

Вторичная часть

Наименование ИК

Диапазоны измерений

Пределы допускаемо й основной погрешност и

Тип (выходной сигнал)

Пределы допускаемой основной погрешности

Тип барьера искро-защиты

Тип модуля ввода/ вывода

Пределы допускаемой основной погрешности измерений

ИК давления

от 0 до 1600 кПа;

от 0 до 4000 кПа;

от 80 до 200 кПа

у: ±0,08 %

ПД 3051S_R (от 4 до 20 мА)

у: ±0,065 %

_

FBM

у: ±0,03 %

от 0 до 1000 кПа;

от 0 до 2500 кПа;

от 0 до 5000 кПа

у: ±0,08 %

MTL7787+

у: ±0,03 %

от 0 до 1200 кПа;

от 0 до 1600 кПа;

от 0 до 5000 кПа

у: ± 0,28 %

MTL5042

Triconex

у: ± 0,25 %

от 0 до 35 МПа

у: ±0,35 %

РТХ (от 4 до 20 мА)

у: ±0,25 %

_

1797-IE8

у: ±0,20 %

у: ±0,32 %

1756-IF16

у: ±0,15 %

у: ±1,13 %

ECU

у: ±1,00 %

у: ±0,83 %

Z887

3500/64

у: ±0,71 %

от 0 до 1000 кПа; от 80 до 5000 кПа

у: ±0,16 %

ПД 3051S_E (от 4 до 20 мА)

у: ±0,065 %

MTL4041B

FBM

у: ±0,13 %

ИК перепада давления

от 0 до 100 кПа

у: ±0,18 %

ПД 3051 (от 4 до 20 мА)

у: ±0,065 %

_

1756-IF16

у: ±0,15 %

от 0 до 186,505 кПа

у: ±0,25 %

Rosemount 1151 (от 4 до 20 мА)

у: ±0,20 %

_

1797-IE8

у: ±0,10 %

Метрологические характеристики ИК

Метрологические характеристики измерительных компонентов ИК

П

ервичный ИП

Вторичная часть

Наименование ИК

Диапазоны измерений

Пределы допускаемо й основной погрешност и

Тип (выходной сигнал)

Пределы допускаемой основной погрешности

Тип барьера искро-защиты

Тип модуля ввода/ вывода

Пределы допускаемой основной погрешности измерений

ИК перепада давления

от 0 до 2 МПа

у: ±0,18 %

STX (от 4 до 20 мА)

у: ±0,13 %

_

ECU

у: ±0,10 %

от 0 до 16 кПа

у: ±0,23 %

2600T

(от 4 до 20 мА)

у: ±0,075 %

_

1794-IE8

у: ±0,20 %

у: ±0,14 %

1797-IE8

у: ±0,10 %

от 0 до 0,63 кПа

у: ±0,14 %

Метран-150 (от 4 до 20 мА)

у: ±0,075 %

_

1797-IE8

у: ±0,10 %

от 0 до 50 кПа; от 0 до 60 кПа

у: ±0,16 %

ПД 3051S_R (от 4 до 20 мА)

у: ±0,065 %

MTL4041B

FBM

у: ±0,13 %

от 0 до 25 кПа; от 0 до 400 кПа

у: ±0,08 %

MTL7787+

у: ±0,03 %

ИК массового расхода

от 0,165 до 81 кг/ч (ДП от 0 до 81 кг/ч)

5: ±1,78 %

Micro Motion R (от 4 до 20 мА)

6: ±1,5 % при Q > Qi;

6: ±ZSM00 %

при Q < Qi

_

1756-IF16

у: ±0,15 %

от 2,046 до 1620 кг/ч (ДП от 0 до 1620 кг/ч)

5: ±2,11 %

FMB208

у: ±0,3 %

от 0,492 до 225 кг/ч (ДП от 0 до 225 кг/ч);

от 0,492 до 306 кг/ч (ДП от 0 до 306 кг/ч); от 2,046 до 3240 кг/ч; (ДП от 0 до 3240 кг/ч); от 2,046 до 3444 кг/ч (ДП от 0 до 3444 кг/ч)

5: ±1,65 %

FMB

у: ±0,03 %

Метрологические характеристики ИК

Метрологические характеристики измерительных компонентов ИК

П

ервичный ИП

Вторичная часть

Наименование ИК

Диапазоны измерений

Пределы допускаемо й основной погрешност и

Тип (выходной сигнал)

Пределы допускаемой основной погрешности

Тип барьера искро-защиты

Тип модуля ввода/ вывода

Пределы допускаемой основной погрешности измерений

ИК массового расхода

от 590,4 до 59040 кг/ч

5: ±1,66 %

Thermatel TA2 (от 4 до 20 мА)

6: ±1,5% при 0,1-Q < Qизм < Q; 6: ±(0,15-QZ Ризм)% при 0,01-Q< Qизм < 0,1-Q,

_

FMB

у: ±0,03 %

ИК объемного расхода

от 0 до 80 м3/ч; от 0 до 180 м3/ч

5: ±0,41 %

ADMAG AXF (от 4 до 20 мА)

6: ±0,35 %

_

FMB

у: ±0,03 %

от 25 до 600 м3/ч

у: ±1,77 %

H 250 (от 4 до 20 мА)

у: ±1,6 %

_

1756-IF16

у: ±0,15 %

ИК уровня

от 250 до 770 мм (ДП от 0 до 770 мм)

Л: ±5,57 мм

BLE (от 4 до 20 мА)

Д: 5 мм

MTL4041B

FBM

у: ±0,03 %

от 250 до 1200 мм (ДП от 0 до 1200 мм)

Л: ±5,73 мм

от 250 до 1500 мм (ДП от 0 до 1500 мм)

Л: ±5,90 мм

от 250 до 1200 мм (ДП от 0 до 1200 мм)

Л: ±11,12 мм

Д: 10 мм

от 250 до 1500 мм (ДП от 0 до 1500 мм)

Л: ±11,20 мм

от 250 до 1800 мм (ДП от 0 до 1800 мм)

Л: ±11,31 мм

ИК напряжения (температуры)

НСХ К (шкала от -250 °C до +1372 °С) 1)

Д: ±1,91 °С

_

_

_

1797-IRT8

Д: ±1,91 °С

Метрологические характеристики ИК

Метрологические характеристики измерительных компонентов ИК

П

ервичный ИП

Вторичная часть

Наименование ИК

Диапазоны измерений

Пределы допускаемо й основной погрешност и

Тип (выходной сигнал)

Пределы допускаемой основной погрешности

Тип барьера искро-защиты

Тип модуля ввода/ вывода

Пределы допускаемой основной погрешности измерений

ИК силы постоянного тока

от 4 до 20 мА

у: ±0,13 %

_

_

MTL4041B

FBM

у: ±0,13 %

у: ±0,03 %

MTL7787+

у: ±0,03 %

у: ±0,03 %

_

у: ±0,03 %

у: ±0,3 %

_

FMB208

у: ±0,3 %

у: ±0,15 %

_

1756-IF16

у: ±0,15 %

у: ±0,20 %

_

1794- IE8

у: ±0,20 %

у: ±0,20 %

_

1797-IE8

у: ±0,10 %

у: ± 1,00 %

_

ECU

у: ± 1,00 %

у: ±0,71 %

Z887

3500/64

у: ±0,71 %

у: ±0,25 %

MTL5042

Triconex

у: ±0,25 %

у: ±0,15 %

Solartron 7956 (протокол HART)

_

MTL7787+

1756-IF16

у: ±0,15 %

ИК преобразования выходных сигналов силы постоянного тока

от 4 до 20 мА

у: ±0,30 %

_

_

_

АВ

у: ±0,30 %

1) Указан максимальный диапазон измерений. Диапазо эксплуатационной документацией на первичный ИП ИК. Рабочий д] Примечания:

1 Приняты следующие обозначения:

А - абсолютная погрешность, в единицах измеряемой вели1 у - приведенная к диапазону измерений погрешность, %; юсительная погрешность, %;

t - измеренная температура, °С;

зница между настроенным минимальным и максимальным значением ксимальный массовый (объемный) расход природного газа и других начение расхода между номинальным и минимальным расходами при габильность нуля, определяемый в соответствии с действующими но] - измеренное значение объемного расхода газа, м3/ч.

ыты следующие сокращения:

номинальная статическая характеристика;

ДП - диапазон показаний, в единицах измеряемой величин 3 Пределы допускаемой основной погрешности ИК темпе] значения диапазона измерений температуры. Пределы допускаем рассчитывают согласно примечанию 4 настоящей таблицы.

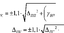
4 Пределы допускаемой основной погрешности ИК рассчи - абсолютная ДИК , в единицах измеряемой величины:

А ИК =±1,1^

Д ИК =

где Д ПП   - пределы допускаемой основной абсолютной погреш

/ВП   - пределы допускаемой основной приведенной погрей

X    - значение измеряемого параметра, соответствующее

величины;

X    - значение измеряемого параметра, соответствующе

измеряемой величины;

Д ВП   пределы допускаемой основной абсолютной погрешнс

>н измерений может быть настроен на меньший диапазон в соответствии с иапазон измерений обусловлен настройками отдельного измерительного канала.

чины;

i температуры, °С;

Чазовых сред, кг/ч (м3/ч);

[родного газа и других газовых сред, кг/ч;

змативными документами, кг/ч;

ы.

>атуры, ИК напряжения (температуры) приведены для максимального абсолютного юй основной погрешности ИК при других значениях измеренной температуры тывают по формулам:

2                         2 2

. ( X - X X

2    2 .            r max_______min

Дпп Ц гвп     100     1 ,

= ±1,1’-\/Д ПП +Д ВП ,

ности первичного ИП ИК, в единицах измеряемой величины;

иности вторичной части ИК, %;

максимальному значению диапазона аналогового сигнала, в единицах измеряемой

е минимальному значению границы диапазона аналогового сигнала, в единицах асти вторичной части ИК, в единицах измеряемой величины;

- относительная ЗИК . %:

ЗИК

±1,1-

Зпп 2

+ I ТВП '

где 8ПП - пределы допускаемой основной относительной погрешности первичного ИП ИК, %;

X изм — измеренное значение, в единицах измеряемой величины;

- приведенная у ИК. %:

Тик = ±1,1 ■ ^Тип + Тви ,

где уПП  - пределы допускаемой основной приведенной погрешности первичного ИП ИК, %.

5 Для расчета погрешности ИК в условиях эксплуатации:

- приводят форму представления основных и дополнительных погрешностей измерительных компонентов ИК к единому виду (приведенная, относительная, абсолютная);

- для каждого измерительного компонента ИК рассчитывают пределы допускаемых значений погрешности в условиях эксплуатации путем учета основной и дополнительных погрешностей от влияющих факторов.

Пределы допускаемой погрешности измерительного компонента ИК в условиях эксплуатации ДСИ рассчитывают по формуле

Jn

Д2+ЁД 2,

i =0

где  Д0   - пределы допускаемой основной погрешности измерительного компонента;

Д - погрешности измерительного компонента от i-го влияющего фактора в условиях эксплуатации при общем числе n учитываемых влияющих факторов.

Для каждого ИК рассчитывают границы, в которых c вероятностью, равной 0,95, должна находиться его погрешность в условиях эксплуатации, по формуле

k

Дик = ±1.1-. £(ДсиУ ,

Ч 0=0

где ДСщ - пределы допускаемых значений погрешности ДСИ j-го измерительного компонента ИК в условиях эксплуатации.

Таблица 4 - Технические характеристики

Наименование характеристики

Значение

Количество входных ИК, не более

360

Количество выходных ИК, не более

30

Условия эксплуатации:

а) температура окружающей среды, °С:

в месте установки вторичной части ИК

в местах установки первичных ИП ИК

б) относительная влажность без конденсации влаги, %: в месте установки вторичной части ИК

в местах установки первичных ИП ИК, не более

в) атмосферное давление, кПа

от +15 до +25 от -40 до +50

от 20 до 80

95

от 84,0 до 106,0

Нормальные условия эксплуатации:

а) температура окружающей среды, °С

б) относительная влажность без конденсации влаги, %

в) атмосферное давление, кПа

от +15 до +25 от 30 до 80 от 84,0 до 106,0

Параметры электрического питания: напряжение переменного тока, В частота переменного тока, Гц

380'56 ; 220'55 50±1

Примечание - ИП, эксплуатация которых в указанных диапазонах температуры окружающей среды и относительной влажности не допускается, эксплуатируются при температуре окружающей среды и относительной влажности, указанных в технической документации на данные ИП.

Знак утверждения типа

наносится на маркировочную табличку и титульный лист паспорта типографским способом.

Комплектность

Таблица 5 - Комплектность ИС

Наименование

Обозначение

Количество, шт./экз.

Система измерительная установки компримирования газа ООО «ЛУКОЙЛ-Волгограднефтепереработка» ТПП по газопереработке в г. Котово

_

1

Руководство по эксплуатации

_

1

Паспорт

_

1

Сведения о методах измерений

приведены в разделе 1 «Описание и работа» руководства по эксплуатации.

Нормативные документы

Приказ Федерального агентства по техническому регулированию и метрологии от 01 октября 2018 г. № 2091 «Об утверждении государственной поверочной схемы для средств измерений силы постоянного электрического тока в диапазоне от 1-10’16 до 100 А»;

Приказ Федерального агентства по техническому регулированию и метрологии от 28 июля 2023 г. № 1520 «Об утверждении государственной поверочной схемы для средств измерений постоянного электрического напряжения и электродвижущей силы»;

Приказ Федерального агентства по техническому регулированию и метрологии от 30 декабря 2019 г. № 3456 «Об утверждении государственной поверочной схемы для средств измерений электрического сопротивления постоянного и переменного тока».

Смотрите также

Default ALL-Pribors Device Photo
Система автоматизированная информационно-измерительная коммерческого учета электроэнергии (АИИС КУЭ) ООО «СберЭнерго» по объекту ООО «Рига Холл» (далее - АИИС КУЭ) предназначена для измерений активной и реактивной электрической энергии и мощности, по...
97484-26
АКИП-1188 Источники питания постоянного тока
Hunan Next Generation Instrumental T&C Tech. Co., Ltd., КИТАЙ, No. 101, Building B23-B24, Liandong Jinyu Industrial Center, No. 308, Maqiaohe Road, Wangcheng Economic and Technological Development Zone, Changsha City, Hunan Province
Источники питания постоянного тока АКИП-1188 (далее - источники) предназначены для воспроизведения напряжения и силы постоянного тока.
97483-26
ВАРД Комплексы автоматизированного контроля геометрических параметров и подбора пружин рессорного комплекта
ФГБОУ ВО СГУПС, РОССИЯ, 630049, Новосибирская область, г. Новосибирск, ул. Дуси Ковальчук, д. 191
Комплексы автоматизированного контроля геометрических параметров и подбора пружин рессорного комплекта ВАРД (далее - комплексы) предназначены для измерений высоты, диаметра и отклонения от перпендикулярности оси пружины, диаметра прутка пружины при п...
97482-26
RBTB (Roll&Brake test bench) Стенд измерительный тормозной роликовый
"FORI KOREA LTD.", КОРЕЯ, РЕСПУБЛИКА, 25, MTV26-ro 20beon-gil, Si-heung-si, Gyeonggi-do
Стенд измерительный тормозной роликовый RBTB (Roll&Brake Test bench) (далее -стенд) предназначен для измерений тангенциальной составляющей силы, возникающей на поверхности ходовых роликов при взаимодействии роликов с колесами автомобиля, воспроизведе...
97481-26
PANEL CINALAB 3D Системы управления водно-химическим режимом
Компания EMEC Srl., ИТАЛИЯ, Via Donatori di Sangue, 1, 02100 Rieti
Системы управления водно-химическим режимом PANEL CINALAB 3D (далее - системы) предназначены для непрерывных измерений удельной электрической проводимости (УЭП), рН и окислительно-восстановительного потенциала (ОВП) воды.