Система измерительная в составе управляющей системы безопасности по технологическим параметрам (ИС УСБТ) энергоблока №3 Ростовской АЭС
| Номер в ГРСИ РФ: | 58418-14 |
|---|---|
| Производитель / заявитель: | Филиал ОАО "Концерн Росэнергоатом" "Ростовская атомная станция" (Ростовская АЭС), г.Волгодонск |
Система измерительная в составе управляющей системы безопасности по технологическим параметрам (ИС УСБТ) энергоблока №3 Ростовской АЭС (далее по тексту -ИС УСБТ) предназначена для измерений и измерительных преобразований к цифровому виду значений следующих физических параметров: активной и полной электрической мощности, силы постоянного и переменного тока, напряжения постоянного и переменного тока, частоты переменного тока, концентрации борной кислоты, давления жидкости, воздуха и пара, разности давлений жидкости, расхода жидкости, уровня жидкости, температуры жидкости, воздуха, пара и металла; обработки, регистрации, отображения указанных параметров и передачи в систему верхнего блочного уровня.
Информация по Госреестру
| Основные данные | |||||||
|---|---|---|---|---|---|---|---|
| Номер по Госреестру | 58418-14 | ||||||
| Наименование | Система измерительная в составе управляющей системы безопасности по технологическим параметрам (ИС УСБТ) энергоблока №3 Ростовской АЭС | ||||||
| Характер производства | Единичное | ||||||
| Идентификатор записи ФИФ ОЕИ | 5099b955-79e0-66a9-1d7a-67071146acb5 | ||||||
| Испытания |
|
||||||
| Год регистрации | 2014 | ||||||
| Общие данные | |
|---|---|
| Год регистрации | 2014 |
| Страна-производитель | Россия |
| Информация о сертификате | |
| Срок действия сертификата | .. |
| Тип сертификата (C - серия/E - партия) | E |
| Дата протокола | Приказ 1325 п. 09 от 09.09.2014 |
Производитель / Заявитель
Филиал АО "Концерн Росэнергоатом" "Ростовская атомная станция", г.Волгодонск; Филиал ОАО "Концерн Росэнергоатом" "Ростовская атомная станция" (Ростовская АЭС), г.Волгодонск
Россия
Поверка
| Методика поверки / информация о поверке | МП 58418-14 |
| Межповерочный интервал / Периодичность поверки |
6 лет
|
| Зарегистрировано поверок | |
| Найдено поверителей | |
| Успешных поверок (СИ пригодно) | 3 (75%) |
| Неуспешных поверок (СИ непригодно) | 1 (25 %) |
| Актуальность информации | 29.03.2026 |
Поверители
Скачать
|
58418-14: Описание типа
2020-58418-14.pdf
|
Скачать | 333.4 КБ | |
|
58418-14: Методика поверки
2022-mp58418-14.pdf
|
Скачать | 11.5 MБ |
Описание типа
Назначение
Система измерительная в составе управляющей системы безопасности по технологическим параметрам энергоблока № 3 Ростовской АЭС (далее - ИС УСБТ) предназначена для измерений значений следующих технологических параметров: активной электрической мощности, напряжения постоянного и переменного электрического тока, силы переменного электрического тока, частоты переменного электрического тока, концентрации борной кислоты в технологических жидкостях, давления технологических жидкостей и газообразных сред, разности давлений технологических жидкостей и газообразных сред, расхода технологических жидкостей, уровня технологических жидкостей, температуры технологических жидкостей, газообразных сред и металлов.
Описание
ИС УСБТ выделяется на функциональном уровне в составе управляющей системы безопасности по технологическим параметрам. Принцип действия ИС УСБТ основан на измерении значений технологических параметров, преобразовании этих значений в электрические сигналы и последующем преобразовании в цифровые сигналы, а также отображении и архивировании измерительной информации.
Измерительные каналы (ИК) ИС УСБТ состоят из первичной части, включающей в себя первичные измерительные преобразователи (ПИП), и вторичной (электрической) части (ВИК), включающей в себя измерительные и вычислительные компоненты, средства обработки, хранения и отображения измерительной информации.
ПИП и ВИК соединяются проводными линиями связи.
В состав первичной части ИК ИС УСБТ входят следующие ПИП, осуществляющие преобразование измеряемых величин в электрические сигналы:
- датчики давления ТЖИУ406-М100-АС (регистрационный номер в Федеральном информационном фонде (рег. №) 47462-11, 47462-16), Элемер-АИР-30-А (рег. № 37668-13), Сапфир-22ЕМ (рег. № 46376-11), манометры электронные ЭКМ-2005А (рег. № 40713-09, 40713-14), в ИК расхода используются также стандартные сужающие устройства (СУ) по ГОСТ 8.586-2005;
- концентратомеры бора НАР-12М (рег. № 14177-11);
- преобразователи термоэлектрические (ТП) KTL-01 (рег. № 20260-00);
- термопреобразователи сопротивления (ТС) ТСП-01 (рег. № 13997-13), ТСП-03 (рег. № 14454-13), ТСП-06 (рег. № 14457-13), СП-01, СП-02, СМ-01, СМ-02 (рег. № 20261-00), ТСП-1088-АС (рег. № 43453-09), ТСП 9203 (рег. № 50071-12), а также регистраторы многоканальные технологические РМТ59 (рег. № 29934-15), преобразующие сигналы от ТС;
- преобразователи измерительные напряжения постоянного тока Е857/3 (рег. № 9506-13, 9506-18);
- трансформаторы тока (ТТ) ТОЛ-СЭЩ-10 (рег. № 32139-11) и трансформаторы напряжения (ТН) ЗНОЛ-СЭЩ-6-1 (рег. № 55024-13) в совокупности с преобразователями измерительными (ИП) мощности трехфазных сетей ФЕ1883-АД (рег. № 43479-09), силы переменного тока ФЕ1854-АД и напряжения переменного тока ФЕ1855-АД (рег. № 28136-04), частоты переменного тока ФЕ1858-АД (рег. № 28653-05).
В состав ВИК входят следующие измерительные и вычислительные компоненты, средства обработки, хранения и отображения измерительной информации:
- средства программно-технические ТПТС-ЕМ (рег. № 44937-10);
- блоки БСОУТ2, БСО10, БСО75, БСА Т, БСОТС, БСА ТС, БВА Н, БВА Т из состава комплексов технических средств непрограммируемой логики КТС НПЛ (рег. № 61252-15);
- амперметры и вольтметры цифровые Ф1762-АД (рег. № 24760-13);
- амперметры и вольтметры дискретно-аналоговые Ф1761-АД (рег. № 24539-08, 24539-13);
- автоматизированные рабочие места (АРМ) операторов.
ИС УСБТ реализует следующие функции:
- измерение технологических параметров реакторной установки, проверка нахождения всех измеряемых параметров в пределах установленных норм (уставок), выдача предупредительных и аварийных сигналов;
- отображение измерительной информации на блочном пункте управления (БПУ) и резервном пункте управления (РПУ), а также ее передача в цифровом виде в систему верхнего блочного уровня (СВБУ) и архивирование измеренных значений.
Рисунок 1 - Общий вид электротехнических шкафов ИС УСБТ (со средствами программно-техническими ТПТС-ЕМ - слева, с измерительными компонентами из состава КТС НПЛ - справа)
Пломбирование системы не предусмотрено.
Программное обеспечение
Метрологически значимым для ИС УСБТ является программное обеспечение (ПО) ТПТС-ЕМ, блоков БСОУТ2, БСО10, БСО75, БСА Т, БСОТС, БСА ТС, БВА Н, БВА Т, ПО показывающих приборов (ПП) Ф1762-АД, Ф1761-АД и ПО ПИП.
Встроенное микропрограммное ПО всех ПИП, ПП и модулей ТПТС-ЕМ загружается в постоянную память приборов на заводе-изготовителе во время производственного цикла, оно недоступно пользователю и не подлежит изменению на протяжении всего срока эксплуатации.
ПО блоков БСОУТ2, БСО10, БСО75, БСА Т, БСОТС, БСА ТС, БВА Н, БВА Т устанавливается в энергонезависимую память в производственном цикле на заводе-изготовителе и не может быть модифицировано в составе блока. Конструкция КТС НПЛ исключает возможность несанкционированного влияния на ПО и измерительную информацию. Модификация метрологически незначимой части ПО блоков может быть выполнена только авторизованным представителем завода-изготовителя с помощью стендового оборудования и специального заводского ПО, защищенного паролем.
Для защиты электротехнических шкафов ИС УСБТ с установленными в них компонентами ВИК предусмотрено закрытие дверей шкафов с оборудованием на ключ, контроль состояния дверей с сигнализацией о несанкционированном доступе внутрь.
Уровень защиты ПО от преднамеренных и непреднамеренных изменений - «высокий» в соответствии с Р 50.2.077-2014.
Идентификационные данные ПО приведены в таблице 1.
Таблица 1а - Идентификационные данные модулей ТПТС-ЕМ и блоков КТС НПЛ
|
Идентификационные данные (признаки) |
Значение | ||||
|
Идентификационное наименование ПО |
ТПТС52-2.1722 |
ТПТС52-2.1731 |
ПЮИЖ 0.000.182 |
ПЮИЖ 0.000.224 |
ПЮИЖ 0.000.225 |
|
Номер версии (идентификационный номер) ПО |
S.01 |
S.51 |
3.6 |
3.8 |
3.11 |
|
Цифровой идентификатор ПО |
- | ||||
Таблица 1б - Идентификационные данные модулей ТПТС-ЕМ и блоков КТС НПЛ
|
Идентификационные данные (признаки) |
Значение | ||||
|
Идентификационное наименование ПО |
ПЮИЖ 0.000.226 |
ПЮИЖ 0.000.232 |
ПЮИЖ 0.000.250 |
ПЮИЖ 0.000.249 |
ПЮИЖ 0.000.234 |
|
Номер версии (идентификационный номер) ПО |
3.5 |
4.0 |
4.0 |
3.12 |
4.0 |
|
Цифровой идентификатор ПО |
- | ||||
|
Примечание - номер версии ПО блока КТС НПЛ может быть выше указанного в случае модификации его метрологически незначимой части представителем завода-изготовителя | |||||
Технические характеристики
Таблица 2 - Метрологические характеристики ИК давления технологических жидкостей и газообразных сред, разности давлений технологических жидкостей и газообразных сред, расхода технологических жидкостей, уровня технологических жидкостей, напряжения переменного и постоянного электрического тока, частоты переменного электрического тока
|
Наименование измеряемого параметра (группы ИК) |
Диапазон измерений 1 |
ПИП |
ВИК |
Границы интервала у№ или пределы "Ун.ик допускаемой приведенной погрешности ИК 2 | |||
|
Тип |
Выходной сигнал (входной сигнал ВИК) |
Пределы допускаемой основной и дополнительной приведенной погрешности 2 |
Состав и выходные сигналы компонентов |
Границы интервала увик или пределы 'Уп.вик допускаемой приведенной погрешности 2 | |||
|
1 |
2 |
3 |
4 |
5 |
6 |
7 |
8 |
|
Давление технологических жидкостей / газообразных сред |
от -1 до +250 кгс/см2, от -80 до +630 кгс/м2 |
ТЖИУ406-М100-АС (ДИВ, ДИ, ДД) |
от 4 до 20 мА |
Yосн = ±0,25 %, Yдоп.с.10 = ±0,25 % (Xn = Di и и ।) |
=> ТПТС52-2.1722 => цифровой сигнал 12 бит в СВБУ |
Yп.вик = ±0,4 % (Xn = Пик) |
Yffi< = ±0,7 % (Xn = Пик) |
|
=> ТПТС52-2.1722 => 12 бит => ТПТС52-2.1722 => от 2 до 10 В => Ф 1762.3-АД-1 (отображение) |
YBffi< = ±0,7 % (Xn = Пик) |
Yffi< = ±0,8 % (Xn = Пик) | |||||
|
=> ТПТС52-2.1722 => 12 бит => ТПТС52-2.1722 => от 2 до 10 В => Ф 1761.5-АД-1 (отображение) |
Yвик = ±3,0 % (Xn = Пик) |
Yffi< = ±3,0 % (Xn = Пик) | |||||
|
=> ТПТС52-2.1722 => 12 бит => ТПТС52-2.1722 => от 2 до 10 В => Ф 1761.6-АД-1 (отображение) |
Yвик = ±1,9 % (Xn = Пик) |
Ym< = ±1,9 % (Xn = Пик) | |||||
|
=> ТПТС52-2.1722 => 12 бит => ТПТС52-2.1722 => от 2 до 10 В => Ф 1762.5-АД-1 (отображение) |
Yвик = ±0,7 % (Xn = Пик) |
Yffi< = ±0,8 % (Xn = Пик) | |||||
|
=> БСОУТ2 (или БСО10, или БСО75) => цифровой сигнал 16 бит в СВБУ |
Yп.вик = ±0,3 % (Xn = Пик) |
Yffi< = ±0,6 % (Xn = Пик) | |||||
|
1 |
2 |
3 |
4 |
5 |
6 |
7 |
8 |
|
Давление технологических жидкостей / газообразных сред |
от -1 до +250 кгс/см2, от -80 до +630 кгс/м2 |
ТЖИУ406-М100-АС (ДИВ, ДИ, ДД) |
от 4 до 20 мА |
Yосн = ±0,25 %, Yдоп.с.10 = ±0,25 % (Xn = Di и и ।) |
=> БСОУТ2 (или БСО10, или БСО75) => 16 бит => БВА Н => от 2 до 10 В => Ф 1762.3-АД-1 (отображение) |
YBffi< = ±0,4 % (Xn = Dhk) |
Гик = ±0,6 % (Xn = Dhk) |
|
=> БСОУТ2 (или БСО10, или БСО75) => 16 бит => БВА Н => от 2 до 10 В => Ф 1761.5-АД-1 (отображение) |
YBmc = ±3,0 % (Xn = Dhk) |
Гик = ±3,0 % (Xn = Dhk) | |||||
|
=> БСОУТ2 (или БСО10, или БСО75) => 16 бит => БВА Н => от 2 до 10 В => Ф 1761.6-АД-1 (отображение) |
Yeffi< = ±1,8 % (Xn = Dhk) |
Гж = ±1,9 % (Xn = Dhk) | |||||
|
=> БСОУТ2 (или БСО10, или БСО75) => 16 бит => БВА Н => от 2 до 10 В => Ф 1762.5-АД-1 (отображение) |
Yemc = ±0,4 % (Xn = Dhk) |
Гж = ±0,6 % (Xn = Dhk) | |||||
|
=> БСА Т => цифровой сигнал 24 бит в СВБУ |
Гп.вик = ±0,1 % (Xn = Dhk) |
Yffi< = ±0,5 % (Xn = Dhk) | |||||
|
=> БСА Т =>24 бит => БВА Н => от 2 до 10 В => Ф 1762.3-АД-1 (отображение) |
Yem< = ±0,3 % (Xn = Dhk) |
Yffi< = ±0,5 % (Xn = Dhk) |
|
1 |
2 |
3 |
4 |
5 |
6 |
7 |
8 |
|
Давление технологических жидкостей / газообразных сред |
от -1 до +250 кгс/см2, от -80 до +630 кгс/м2 |
ТЖИУ406-М100-АС (ДИВ, ДИ, ДД) |
от 4 до 20 мА |
Yосн = ±0,50 %, Yдоп.с.10 = ±0,45 % (Xn = Di и и ।) |
=> ТПТС52-2.1722 => цифровой сигнал 12 бит в СВБУ |
Yn^K = ±0,4 % (Xn = Dhk) |
Yffi< = ±0,9 % (Xn = Dhk) |
|
=> ТПТС52-2.1722 => 12 бит => ТПТС52-2.1722 => от 2 до 10 В => Ф 1762.3-АД-1 (отображение) |
YBffi< = ±0,7 % (Xn = Dhk) |
Ym< = ±1,1 % (Xn = Dhk) | |||||
|
=> ТПТС52-2.1722 => 12 бит => ТПТС52-2.1722 => от 2 до 10 В => Ф 1761.5-АД-1 (отображение) |
Yвик = ±3,0 % (Xn = Dhk) |
Yffi< = ±3,5 % (Xn = Dhk) | |||||
|
=> ТПТС52-2.1722 => 12 бит => ТПТС52-2.1722 => от 2 до 10 В => Ф 1761.6-АД-1 (отображение) |
Yвик = ±1,9 % (Xn = Dhk) |
Yffi< = ±2,1 % (Xn = Dhk) | |||||
|
=> ТПТС52-2.1722 => 12 бит => ТПТС52-2.1722 => от 2 до 10 В => Ф 1762.5-АД-1 (отображение) |
Yвик = ±0,7 % (Xn = Dhk) |
Ym< = ±1,1 % (Xn = Dhk) | |||||
|
=> БСОУТ2 (или БСО10, или БСО75) => цифровой сигнал 16 бит в СВБУ |
Yn^K = ±0,3 % (Xn = Dhk) |
Yffi< = ±0,9 % (Xn = Dhk) | |||||
|
=> БСОУТ2 (или БСО10, или БСО75) => 16 бит => БВА Н => от 2 до 10 В => Ф 1762.3-АД-1 (отображение) |
Yвик = ±0,4 % (Xn = Dhk) |
Yffi< = ±0,9 % (Xn = Dhk) | |||||
|
=> БСОУТ2 (или БСО10, или БСО75) => 16 бит => БВА Н => от 2 до 10 В => Ф 1761.5-АД-1 (отображение) |
Yвик = ±3,0 % (Xn = Dhk) |
Yffi< = ±3,5 % (Xn = Dhk) | |||||
|
=> БСОУТ2 (или БСО10, или БСО75) => 16 бит => БВА Н => от 2 до 10 В => Ф 1761.6-АД-1 (отображение) |
Yвик = ±1,8 % (Xn = Dhk) |
Yffi< = ±2,0 % (Xn = Dhk) |
|
1 |
2 |
3 |
4 |
5 |
6 |
7 |
8 |
|
Давление технологических жидкостей / газообразных сред |
от -1 до +250 кгс/см2, от -80 до +630 кгс/м2 |
ТЖИУ406-М100-АС (ДИВ, ДИ, ДД) |
от 4 до 20 мА |
Yосн = ±0,50 %, Yдоп.с.10 = ±0,45 % (Xn = Dпип) |
=> БСОУТ2 (или БСО10, или БСО75) => 16 бит => БВА Н => от 2 до 10 В => Ф 1762.5-АД-1 (отображение) |
YBffi< = ±0,4 % (Xn = D№) |
Yffi< = ±0,9 % (Xn = D№) |
|
=> БСА Т => цифровой сигнал 24 бит в СВБУ |
Yn^ = ±0,1 % (Xn = D№) |
Yffi< = ±0,8 % (Xn = D№) | |||||
|
=> БСА Т =>24 бит => БВА Н => от 2 до 10 В => Ф 1762.3-АД-1 (отображение) |
Yвик = ±0,3 % (Xn = D№) |
Yffi< = ±0,9 % (Xn = D№) | |||||
|
=> БСОУТ2 (или БСО75) => 16 бит => БВА Т => от 4 до 20 мА |
Yn^ = ±0,4 % (Xn = D№) |
Yffi< = ±0,9 % (Xn = D№) | |||||
|
Давление технологических жидкостей |
от 0 до 16 кгс/см2 |
ЭКМ-2005А |
от 4 до 20 мА |
Yосн = ±1,0 %, Yдоп.с.10 = ±0,4 % (Xn Dran) |
=> ТПТС52-2.1722 => цифровой сигнал 12 бит в СВБУ |
Yn^ = ±0,4 % (Xn = D№) |
Yffi< = ±1,4 % (Xn = D№) |
|
=> БСОУТ2 => цифровой сигнал 16 бит в СВБУ |
Yn^ = ±0,3 % (Xn = D№) |
Ymc = ±1,3 % (Xn = D№) | |||||
|
=> БСА Т => цифровой сигнал 24 бит в СВБУ |
Yn^ = ±0,1 % (Xn = D№) |
Ymc = ±1,3 % (Xn = D№) | |||||
|
от 0 до 25 кгс/см2 |
ЭЛЕМЕР-АИР-30 |
от 4 до 20 мА |
Yосн = ±0,4 %, Yдоп.с.10 = ±0,15 % (Xn = Dran) |
=> ТПТС52-2.1722 => цифровой сигнал 12 бит в СВБУ |
Yn^ = ±0,4 % (Xn = D№) |
Yffi< = ±0,7 % (Xn = D№) | |
|
=> БСОУТ2 => цифровой сигнал 16 бит в СВБУ |
Yn^ = ±0,3 % (Xn = d№) |
Yffi< = ±0,6 % (Xn = D№) | |||||
|
от 0 до 100 кгс/см2 |
Сапфир-22ЕМ-ДИ |
от 4 до 20 мА |
Yосн = ±0,50 %, Yдоп.с.10 = ±0,45 % (Xn = Dran) |
=> БСОУТ2 => цифровой сигнал 16 бит в СВБУ |
Yn^ = ±0,3 % (Xn = D№) |
Yffi< = ±0,9 % (Xn = D№) | |
|
=> БСОУТ2 => 16 бит => БВА Н => от 2 до 10 В => Ф 1761.5-АД-1 (отображение) |
Yвик = ±3,0 % (Xn = D№) |
Yffi< = ±3,5 % (Xn = D№) | |||||
|
Разность давлений технологичес ких жидкостей / газообразных сред |
от 0 до 25 кгс/см2 |
ТЖИУ406ДД -М100-АС |
от 4 до 20 мА |
Yосн = ±0,50 %, Yдоп.с.10 = ±0,45 % (Xn = Dra^ |
=> ТПТС52-2.1722 => цифровой сигнал 12 бит в СВБУ |
Yn^ = ±0,4 % (Xn = D№) |
Yffi< = ±0,9 % (Xn = D№) |
|
=> БСОУТ2 => цифровой сигнал 16 бит в СВБУ |
Yn^ = ±0,3 % (Xn = D№) |
Yffi< = ±0,9 % (Xn = D№) | |||||
|
=> БСА Т => цифровой сигнал 24 бит в СВБУ |
Yn^ = ±0,1 % (Xn = D№) |
Yffi< = ±0,8 % (Xn = D№) |
|
1 |
2 |
3 |
4 |
5 |
6 |
7 |
8 |
|
Расход технологических жидкостей 3 |
от 0 до 4000 м3/ч |
ТЖИУ406ДД -М100-АС + СУ по ГОСТ 8.586.1-2005 |
от 4 до 20 мА |
Уосн = ±0,25 %, Тдоп.с.10 = ±0,25 % +погрешность, вносимая СУ (Xn Dinin) |
-> ТПТС52-2.1722 -> цифровой сигнал 12 бит в СВБУ |
Тп.вик - ±0,4 % (Xn - Оик) |
Тик - ±3,0 % (Xn - Оик) |
|
-> ТПТС52-2.1722 -> 12 бит -> ТПТС52-2.1722 -> от 2 до 10 В -> Ф 1761.6-АД-1 (отображение) |
Твик - ±1,9 % (Xn - Оик) |
уик - ±4,0 % (Xn - Оик) | |||||
|
-> БСОУТ2 -> цифровой сигнал 16 бит в СВБУ |
Тп.вик - ±0,3 % (Xn - Оик) |
уик - ±3,0 % (Xn - Оик) | |||||
|
-> БСОУТ2 -> 16 бит -> БВА Н -> от 2 до 10 В -> Ф1761.6-АД-1 (отображение) |
увик - ±1,8 % (Xn - Оик) |
уик - ±4,0 % (Xn - Оик) | |||||
|
Уосн = ±0,50 %, Тдоп.с.10 - ±0,45 % +погрешность, вносимая СУ (Xn - Опии) |
-> ТПТС52-2.1722 -> цифровой сигнал 12 бит в СВБУ |
Тп.вик - ±0,4 % (Xn - Оик) |
уик - ±3,0 % (Xn - Оик) | ||||
|
-> ТПТС52-2.1722 -> 12 бит -> ТПТС52-2.1722 -> от 2 до 10 В -> Ф 1762.3-АД-1 (отображение) |
Твик - ±0,7 % (Xn - Оик) |
Уик - ±3,0 % (Xn - Оик) | |||||
|
-> ТПТС52-2.1722 -> 12 бит -> ТПТС52-2.1722 -> от 2 до 10 В -> Ф 1761.6-АД-1 (отображение) |
увик - ±1,9 % (Xn - Оик) |
уик - ±4,0 % (Xn - Оик) | |||||
|
-> БСОУТ2 -> цифровой сигнал 16 бит в СВБУ |
Тп.вик - ±0,3 % (Xn - Оик) |
уик - ±3,0 % (Xn - Оик) | |||||
|
-> БСОУТ2 -> 16 бит -> БВА Н -> от 2 до 10 В -> Ф 1762.3-АД-1 (отображение) |
Твик - ±0,4 % (Xn - Оик) |
Уик - ±3,0 % (Xn - Оик) | |||||
|
-> БСОУТ2 -> 16 бит -> БВА Н -> от 2 до 10 В -> Ф 1761.6-АД-1 (отображение) |
Твик - ±1,8 % (Xn - Оик) |
Уик - ±4,0 % (Xn - Оик) | |||||
|
-> БСА Т -> цифровой сигнал 24 бит в СВБУ |
Тп.вик - ±0,1 % (Xn - Оик) |
Уик - ±3,0 % (Xn - Оик) | |||||
|
-> БСА Т ->24 бит -> БВА Н -> от 2 до 10 В -> Ф 1761.6-АД-1 (отображение) |
Твик - ±1,8 % (Xn - Оик) |
Уик - ±4,0 % (Xn - Оик) |
|
1 |
2 |
3 |
4 |
5 |
6 |
7 |
8 |
|
Уровень технологических жидкостей |
от 0 до 1000 см |
ТЖИУ406ДД -М100-АС |
от 4 до 20 мА |
Тосн = ±0,25 %, Тдоп.с.10 = ±0,25 % (Xn = D и и ।) |
=> ТПТС52-2.1722 => цифровой сигнал 12 бит в СВБУ |
Тп.вик = ±0,4 % (Xn = Dhk) |
Уик = ±0,7 % (Xn = Dhk) |
|
=> ТПТС52-2.1722 => 12 бит => ТПТС52-2.1722 => от 2 до 10 В => Ф 1762.7-АД-1 (отображение) |
Твик = ±0,7 %, Твик = ±3,0 % 4 (Xn = Dhk) |
Уик = ±0,8 %, уик = ±3,0 % 4 (Xn = Dhk) | |||||
|
=> ТПТС52-2.1722 => 12 бит => ТПТС52-2.1722 => от 2 до 10 В => Ф 1761.5-АД-1 (отображение) |
Твик = ±3,0 % (Xn = Dhk) |
Уик = ±3,0 % (Xn = Dhk) | |||||
|
=> БСОУТ2 => цифровой сигнал 16 бит в СВБУ |
Тп.вик = ±0,3 % (Xn = Dhk) |
уик = ±0,6 % (Xn = Dhk) | |||||
|
=> БСОУТ2 => 16 бит => БВА Н => от 2 до 10 В => Ф1762.7-АД-1 (отображение) |
Твик = ±0,4 %, Твик = ±3,0 % 4 (Xn = Dhk) |
уик = ±0,6 %, Уик = ±3,0 % 4 (Xn = Dhk) | |||||
|
=> БСОУТ2 => 16 бит => БВА Н => от 2 до 10 В => Ф1761.5-АД-1 (отображение) |
Твик = ±3,0 % (Xn = Dhk) |
уик = ±3,0 % (Xn = Dhk) | |||||
|
=> БСА Т => цифровой сигнал 24 бит в СВБУ |
Тп.вик = ±0,1 % (Xn = Dhk) |
уик = ±0,5 % (Xn = Dhk) | |||||
|
=> БСА Т =>24 бит => БВА Н => от 2 до 10 В => Ф1762.7-АД-1 (отображение) |
Твик = ±0,3 %, Твик = ±2,9 % 4 (Xn = Dhk) |
уик = ±0,5 %, Уик = ±3,0 % 4 (Xn = Dhk) | |||||
|
Уосн = ±0,50 %, Тдоп.с.10 = ±0,45 % (Xn Diiiiii) |
=> ТПТС52-2.1722 => цифровой сигнал 12 бит в СВБУ |
Тп.вик = ±0,4 % (Xn = Dhk) |
Уик = ±0,9 % (Xn = Dhk) | ||||
|
=> ТПТС52-2.1722 => 12 бит => ТПТС52-2.1722 => от 2 до 10 В => Ф 1762.7-АД-1 (отображение) |
Твик = ±0,7 %, Твик = ±3,0 % 4 (Xn = Dhk) |
Тик = ±1,1 %, Тик = ±3,5 % 4 (Xn = Dhk) | |||||
|
=> ТПТС52-2.1722 => 12 бит => ТПТС52-2.1722 => от 2 до 10 В => Ф 1761.5-АД-1 (отображение) |
Твик = ±3,0 % (Xn = Dhk) |
Тик = ±3,5 % (Xn = Dhk) |
|
1 |
2 |
3 |
4 |
5 |
6 |
7 |
8 |
|
Уровень технологических жидкостей |
от 0 до 1000 см |
ТЖИУ406ДД-М100-АС |
от 4 до 20 мА |
Yосн = ±0,50 %, Yдоп.с.10 = ±0,45 % (Xn = Опип) |
=> БСОУТ2 => цифровой сигнал 16 бит в СВБУ |
Гп.вик = ±0,3 % (Xn = Оик) |
Yffi< = ±0,9 % (Xn = Оик) |
|
=> БСОУТ2 => 16 бит => БВА Н => от 2 до 10 В => Ф 1762.7-АД-1 (отображение) |
Ybmc = ±0,4 %, YEm^ = ±3,0 % 4 (Xn = Оик) |
Yffi< = ±0,9 %, '... = ±3,5 % 4 (Xn = Оик) | |||||
|
=> БСОУТ2 => 16 бит => БВА Н => от 2 до 10 В => Ф 1761.5-АД-1 (отображение) |
Yвик = ±3,0 % (Xn = Оик) |
Yffi< = ±3,5 % (Xn = Оик) | |||||
|
=> БСА Т => цифровой сигнал 24 бит в СВБУ |
Гплшс = ±0,1 % (Xn = Оик) |
Yffi< = ±0,8 % (Xn = Оик) | |||||
|
=> БСА Т =>24 бит => БВА Н => от 2 до 10 В => Ф1762.7-АД-1 (отображение) |
Yвик = ±0,3 %, Yвик = ±2,9 % 4 (Xn = Оик) |
Yffi< = ±0,9 %, /... = ±3,5 % 4 (Xn = Оик) | |||||
|
ЭЛЕМЕР-АИР-30 |
от 4 до 20 мА |
Yосн = ±0,4 %, Yдоп.с.10 = ±0,15 % (Xn = Опип) |
=> ТПТС52-2.1722 => цифровой сигнал 12 бит в СВБУ |
Гплшс = ±0,4 % (Xn = Оик) |
Yffi< = ±0,7 % (Xn = Оик) | ||
|
=> БСОУТ2 => цифровой сигнал 16 бит в СВБУ |
Гплшс = ±0,3 % (Xn = Оик) |
Yffi< = ±0,6 % (Xn = Оик) | |||||
|
Напряжение переменного электрического тока на секциях |
от 0 до 500 В |
ФЕ1855-АД |
от 4 до 20 мА |
Yосн = ±0,5 % (Xn = Оик) |
=> ТПТС52-2.1722 => цифровой сигнал 12 бит в СВБУ |
Гплшс = ±0,4 % (Xn = Оик) |
Гпис = ±0,9 % (Xn = Оик) |
|
=> ТПТС52-2.1722 => 12 бит => ТПТС52-2.1722 => от 2 до 10 В => Ф 1762.3-АД-1 (отображение) |
YBffi< = ±0,7 % (Xn = Оик) |
Yffi< = ±0,9 % (Xn = Оик) | |||||
|
=> БСА Т => цифровой сигнал 24 бит в СВБУ |
Гплшс = ±0,1 % (Xn = Оик) |
Гпис = ±0,6 % (Xn = Оик) | |||||
|
=> БСА Т =>24 бит => БВА Н => от 2 до 10 В => Ф 1762.3-АД-1 (отображение) |
Yвик = ±0,3 % (Xn = Оик) |
Yffi< = ±0,7 % (Xn = Оик) |
|
1 |
2 |
3 |
4 |
5 |
6 |
7 |
8 |
|
Напряжение постоянного электрического тока на ЩПТ |
от 0 до 250 В |
Е857/3 |
от 4 до 20 мА |
Yосн = ±0,5 % (Xn = 20 мА) |
=> ТПТС52-2.1722 => цифровой сигнал 12 бит в СВБУ |
Yп.вик = ±0,4 % (Xn = Пик) |
Yп.ик = ±1,0 % (Xn = Пик) |
|
=> ТПТС52-2.1722 => 12 бит => ТПТС52-2.1722 => от 2 до 10 В => Ф 1762.3-АД-1 (отображение) |
YBffi< = ±0,7 % (Xn = Пик) |
Yffi< = ±1,0 % (Xn = Пик) | |||||
|
=> БСА Т => цифровой сигнал 24 бит в СВБУ |
Yп.вик = ±0,1 % (Xn = Пик) |
Yп.ик = ±0,8 % (Xn = Пик) | |||||
|
=> БСА Т => 24 бит => БВА Н => от 2 до 10 В => Ф 1762.3-АД-1 (отображение) |
Yвик = ±0,3 % (Xn = Пик) |
Yffi< = ±0,8 % (Xn = Пик) | |||||
|
Частота на секции |
от 45 до 55 Гц |
ФЕ1858-АД |
от 4 до 20 мА |
Yосн = ±0,02 % (Xn = 55 Гц) |
=> ТПТС52-2.1722 => цифровой сигнал 12 бит в СВБУ |
Yп.вик = ±0,4 % (Xn = Пик) |
Yп.ик = ±0,5 % (Xn = Пик) |
|
=> ТПТС52-2.1722 => 12 бит => ТПТС52-2.1722 => от 2 до 10 В => Ф 1762.3-АД-1 (отображение) |
Yвик = ±0,7 % (Xn = Пик) |
Yffi< = ±0,7 % (Xn = Пик) | |||||
|
=> БСА Т => цифровой сигнал 24 бит в СВБУ |
Yп.вик = ±0,1 % (Xn = Пик) |
Yп.ик = ±0,3 % (Xn = Пик) | |||||
|
=> БСА Т => 24 бит => БВА Н => от 2 до 10 В => Ф1762.3-АД-1 (отображение) |
Yвик = ±0,3 % (Xn = Пик) |
Yffi< = ±0,3 % (Xn = Пик) | |||||
|
Примечания 1 Указаны нижняя и верхняя границы возможных диапазонов измерений ИК. Диапазон измерений конкретного ИК может отличаться, но должен находиться в указанных границах. Нормирующим значением для расчета приведенной погрешности является фактический диапазон измерений D® конкретного ИК. Диапазоны ИК давления указаны без учета индивидуальной поправки на давление гидростолба (без учета установки датчика относительно врезки). Диапазоны ИК уровня указаны без учета геодезии на врезки, и размещения уравнительных сосудов. 2 Xn - нормирующее значение для приведенной погрешности; Di ini [ - верхний предел измерений конкретного ПИП давления; уосн - пределы допускаемой основной приведенной погрешности ПИП; | |||||||
Y don.c.10 - пределы допускаемой дополнительной приведенной погрешности ПИП на каждые 10 °С изменения температуры окружающей среды от нормальных значений в пределах условий эксплуатации;
Y buk - границы интервала допускаемой приведенной погрешности ВИК в условиях эксплуатации (P = 0,95);
Y n.BUK - пределы допускаемой приведенной погрешности ВИК в условиях эксплуатации;
Y UK - границы интервала допускаемой приведенной погрешности ИК в условиях эксплуатации (P = 0,95);
Y h.uk - пределы допускаемой приведенной погрешности ИК в условиях эксплуатации.
Для ВИК и ИК, погрешность которых складывается из двух составляющих, приведены значения yh.bUk и yh.uk. Для ВИК и ИК, погрешность которых складывается из 3 и более составляющих, приведены значения ybuk и yuk, вычисленные с использованием документа МИ 3592-2017 «ГСИ. Методы определения метрологических характеристик средств измерений, применяемых в области использования атомной энергии».
Для ИК с выходами на вольтметры Ф 1762-АД указаны границы интервала допускаемой приведенной погрешности по цифровому отсчёту при отображении значений измеренного параметра в максимальном диапазоне показаний вольтметра по цифровому отсчёту.
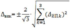
Для ИК с более узким (перенастроенным) диапазоном показаний вольтметра Ф1762-АД по цифровому отсчёту, ИК с Dhk < Dnnn (ПИП настроен на нестандартный диапазон измерений) ybuk и yuk вычисляются по формулам:
и
¥иие=±_г=' / (Уип&)2 -л-
где
n - количество измерительных компонентов, входящих в состав конкретного ВИК;
Уипt - пределы допускаемой приведенной погрешности k-го (k = 1.. .n) измерительного компонента ВИК в условиях эксплуатации в процентах от Dhk, равные ±0,38 % для ТПТС52-2.1722, ±0,25 % для БСОУТ2, БСО10 и БСО75, ±0,1 % для БСА Т, БВА Н и БВА Т, ±1,5 % для Ф1761.6-АД-1, ±2,5 % для Ф1761.5-АД-1 и Ф1762.7-АД-1 (дискретно-аналоговый отсчёт), ±0,5 % для ФЕ1855-АД, ±0,11 % для ФЕ1858-АД, ±0,625 % для Е857/3, уф1для вольтметров Ф1762-АД (цифровой отсчёт).
/ 1,2 ■ q \
УФ1762 = ± (0,05 + /ук_Л?н ■ 100j%, где
q - значение младшего разряда показаний Ф1762-АД;
Nk - верхняя граница Dh£
Nh - нижняя граница Dhk.
3 В ИК расхода используется модификация датчиков давления, предназначенная для измерений разности давлений. Разность давлений на стандартных СУ пересчитывается в значения объемного, массового расхода в соответствии с ГОСТ 8.586-2005. Приведено предельное допускаемое значение приведенной погрешности для данного типа ИК. Характеристики точности каждого конкретного ИК определяются индивидуальным расчетом по ГОСТ 8.586-2005, зависящим от характеристик расходомерного узла.
4 Значения погрешности при дискретно-аналоговом отсчете с дисплея вольтметра Ф1762.7-АД-1.
Таблица 3 - Метрологические характеристики ИК активной электрической мощности, напряжения и силы переменного электрического тока
|
Наименование измеряемого параметра (группы ИК) |
Диапазон измерений |
ПИП |
ВИК |
Границы интервала Зик допускаемой погрешности ИК 1 | |||
|
Тип |
Выходной сигнал (входной сигнал ВИК) |
Пределы допускаемой погрешности или класс точности 1 |
Состав и выходные сигналы компонентов |
Границы интервала 7вик или пределы уп.вик допускаемой приведенной погрешности 1 | |||
|
1 |
2 |
3 |
4 |
5 |
6 |
7 |
8 |
|
Активная мощность Pi трансформатора / дизель-генератора/ электродвигателя 2 |
от 0 до 8,3 МВт, от 0 до 1557 кВт, от 0 до 623 кВт |
ЗНОЛ-СЭЩ-6-1 КТ 0,5 (6000/100) + ТОЛ-СЭЩ-10 КТ 0,5S (800/5 или 300/5) => от 0 до 125 В + от 0 до 5 А, (от 0 до 2,5 А или от 0 до 1 А) => ФЕ1883-АД |
от 4 до 20 мА |
ТН (Uhom = 6000 В): Зтн = ±0,50 % (в D1 от ОЛШм до 1,2-ином), Зтн = ±1,0 % (в D2 от 0,02^Uhom до менее 0,20^Uhom и в D3 св. 1,20-Uhom до 1,25-Uhom); ТТ (Ihom = 800 А или 300 А): Зтт = ±0,50 % (в D1 от 0,2-Um до иЛом), Зтт = ±0,75 % (в D2 от 0,05-Ihom до менее 0,2-I№m), Зтт = ±1,5 % (в D3 от 0,01-]ном до менее 0,05-Ihom); ИП: -'„с,, = ±0,625 % (Xn = Dhr при ]ном, UHOM) |
=> ТПТС52-2.1722 => цифровой сигнал 12 бит в СВБУ |
Yп.вик = ±0,4 % (Xn = Dhr) |
Зик = ±1,5 % |
|
=> ТПТС52-2.1722 => 12 бит => ТПТС52-2.1722 => от 2 до 10 В => Ф1762.3-АД-1 (отображение) |
Yemc = ±0,7 % (Xn = Dhr) |
Зик = ±1,6 % | |||||
|
=>БСОУТ2 => цифровой сигнал 16 бит в СВБУ |
Yп.вик = ±0,3 % (Xn = Dhr) |
Зик = ±1,5 % | |||||
|
=> БСОУТ2 => 16 бит => БВА Н => от 2 до 10 В => Ф1762.3-АД-1 (отображение) |
Yeffi< = ±0,4 % (Xn = Dhr) |
Зик = ±1,5 % | |||||
|
=> БСА Т => цифровой сигнал 24 бит в СВБУ |
Yп.вик = ±0,1 % (Xn = Dhr) |
Зик = ±1,5 % | |||||
|
1 |
2 |
3 |
4 |
5 |
6 |
7 |
8 | |||||
|
Напряжение переменного электрического тока на секциях |
от 0 до 7,5 кВ |
ЗНОЛ-СЭЩ-6-1 КТ 0,5 (6000/100) => от 0 до 125 В => ФЕ1855-АД |
от 4 до 20 мА |
ТН (Uhom=6000 В): Зтн = ±0,50 % (в D1 от 0Лином до 1,2'ином), Зтн = ±1,0 % (в D2 от 0,02^ном до менее 0,20^ином и в D3 св. 1,20-ином до 1,25-ином); Yип = ±0,5 % (Xn = Dик) |
=> ТПТС52-2.1722 => цифровой сигнал 12 бит в СВБУ |
Гп.вик = ±0,4 % (Xn = d№) |
Зик = | |||||
|
+И1 II II |
Gtf + од-( |
1 3 |з т |
эд | |||||||||
|
=> ТПТС52-2.1722 => 12 бит => ТПТС52-2.1722 => от 2 до 10 В => Ф1762.3-АД-1 (отображение) |
YBffi< = ±0,7 % (Xn = d№) |
Зик = | ||||||||||
|
«l1^ II II |
(®ТВ + 0,55- |
с: I с? S S + з |я |
% | |||||||||
|
=> БСА Т => цифровой сигнал 24 бит в СВБУ |
Гп.вик = ±0,1 % (Xn = d№) |
Зик = | ||||||||||
|
T «l1^ II II |
(®ТВ + 0,26- |
с: I с? S S + з |я |
% | |||||||||
|
=> БСА Т =>24 бит => БВА Н => от 2 до 10 В => Ф1762.3-АД-1 (отображение) |
Yвик = ±0,3 % (Xn = d№) |
Зик = | ||||||||||
|
«l1^ II II |
(®ТВ + 0,28- |
с: I с? S S + з |я |
% | |||||||||
|
Сила переменного электрического тока дизель-генератора/ электродвигателя |
от 0 до 0,8 кА, от 0 до 150 А, от 0 до 60 А |
ТОЛ-СЭЩ-10 КТ 0,5S (800/5 или 300/5) => от 0 до 5 А (от 0 до 2,5 А или от 0 до 1 А) => ФЕ1854-АД |
от 4 до 20 мА |
ТТ (1ном=800 а или 300 А): Зтт = ±0,50 % (в D1 от 0,2 1ном до 1,2'1ном), Зтт = ±0,75 % (в D2 от 0,05-1ном до менее 0,2-!№м), Зтт = ±1,5 % (в D3 от 0,01'!ном до менее 0,05-1№м); Yип = ±0,5 % (Xn = Dик) |
=> ТПТС52-2.1722 => цифровой сигнал 12 бит в СВБУ |
Гп.вик = ±0,4 % (Xn = d№) |
Зик = | |||||
|
1 = — ■ Vs л |
+0,4 |
^НК | ||||||||||
|
=> ТПТС52-2.1722 => 12 бит => ТПТС52-2.1722 => от 2 до 10 В => Ф1762.3-АД-1 (отображение) |
Yвик = ±0,7 % (Xn = d№) |
Зик = | ||||||||||
|
i ==—■ । Vs |
(ffTT)2 -0,551 — |
эд | ||||||||||
|
=> БСОУТ2 => цифровой сигнал 16 бит в СВБУ |
Гп.вик = ±0,3 % (Xn = d№) |
Зик = | ||||||||||
|
-H II |
(ад - +o,32 |
х2 Q % | ||||||||||
|
1 |
2 |
3 |
4 |
5 |
6 |
7 |
8 | |||
|
Сила переменного электрического тока дизель-генератора/ электродвигателя |
от 0 до 0,8 кА, от 0 до 150 А, от 0 до 60 А |
ТОЛ-СЭЩ-10 КТ 0,5S (800/5 или 300/5) => от 0 до 5 А (от 0 до 2,5 А или от 0 до 1 А) => ФЕ1854-АД |
от 4 до 20 мА |
ТТ (1ном=800 А, или 300 А): Зтт = ±0,50 % (в D1 от 0,2 1ном до 1,2*1Ном), Зтт = ±0,75 % (В D2 от 0,05Т!ном до менее 0,2-!ном), Зтт = ±1,5 % (в D3 от 0,01-!ном до менее 0,05-!ном); Yин = ±0,5 % (Xn = Пик) |
=> БСА Т => цифровой сигнал 24 бит в СВБУ |
Уп.вик = ±0,1 % (Xn = Пик) |
и II |
Зик = |
2 % | |
|
=> БСА Т =>24 бит => БВА Н => от 2 до 10 В => Ф1762.3-АД-1 (отображение) |
Yeffi< = ±0,3 % (Xn = Пик) |
Зик = | ||||||||
|
-н II |
+0,28 |
^нзм |
2 % | |||||||
Примечания
1 Зтт и Зтн - соответственно пределы допускаемой относительной погрешности ТТ и ТН;
D1, D2 и D3 - соответственно поддиапазоны измерений 1,2 и 3 соответствующего ТТ или ТН;
1ном и ином - соответственно номинальные значения линейного первичного тока ТТ и первичного напряжения ТН;
Уин - пределы допускаемой основной приведенной погрешности измерительного преобразователя ФЕ1883-АД, ФЕ1854-АД или ФЕ1855-АД в условиях эксплуатации;
Xn - нормирующее значение для приведенной погрешности;
Пик - диапазон измерений ИК (Dk - верхняя граница, Dн - нижняя граница);
КТ - класс точности;
Уп.вик - пределы допускаемой приведенной погрешности ВИК в условиях эксплуатации;
Yb™ - границы интервала допускаемой приведенной погрешности ВИК в условиях эксплуатации (P = 0,95);
1изм и иизм - соответственно текущие значения линейных первичного тока ТТ и первичного напряжения ТН;
Зик - значение границ интервала допускаемой относительной погрешности (P = 0,95) ИК в условиях эксплуатации.
cosф - косинус угла между током и напряжением.
2 Для ИК активной электрической мощности указаны значения 6ик, которые достигаются в точке DK при cosф = 0,8. 6ик для других точек диапазона активной мощности (значений cosф, 1изм, А и иизм, В) рассчитывается по формуле:
(5ТТ2 + + 52с_|_
nma Irn 2^1 Vl-cosa^\2 у / Уипй-Оик-Ю6 ‘
0,029' । 0п + <>тч ----------- + / --------------- где 5ТТ - предел допускаемой относительной погрешности ТТ по ГОСТ 7746-2001 при значении 1изм, А в диапазоне от 0,01-!ном до 1,2-1ном, для которого производится расчет 6ик;
5ТН - предел допускаемой относительной погрешности ТН по ГОСТ 1983-2001 при значении иизм, В в диапазоне от 0,02^ином до 1,25-ином, для которого производится расчет 6ик;
6л.с - наибольшее (по модулю) значение относительной погрешности, обусловленной падением напряжения в проводной линии связи между ТН и ВИК;
0ТТ - предел допускаемой угловой погрешности ТТ (в минутах) по ГОСТ 7746-2001 при значении 1изм в диапазоне от 0,01-!ном до 1,2-!ном, для которого производится расчет 6ик;
0ТН - предел допускаемой угловой погрешности ТН (в минутах) по ГОСТ 1983-2001 при значении иизм в диапазоне от 0,02^ином до 1,25-ином, для которого производится расчет 6ик;
□ИК - значение выражено в МВт;
n - количество измерительных компонентов, входящих в состав конкретного ВИК;
cosф - значение косинуса угла между током и напряжением;
СИС = Pi, МВт - точка внутри диапазона измерений активной электрической мощности, для которой производится расчет 6ик;
Уип* - пределы допускаемой приведенной погрешности k-го (k = 1.. ,n) измерительного компонента ВИК в условиях эксплуатации в процентах от DiiK, равные ±0,625 % для ФЕ1883-АД, ±0,38 % для ТПТС52-2.1722, ±0,25 % для БСОУТ2, ±0,1 % для БСА Т и БВА Н, уф1762 для вольтметров Ф1762-АД (цифровой отсчёт);
/ U -1? \
ГФ 1762 = ± (0,05 + ■ 100 1 %,
где
q - значение младшего разряда показаний амперметра Ф1762-АД по цифровому отсчету.
Таблица 4 - Метрологические характеристики ИК концентрации бора в технологических жидкостях
|
Наименование измеряемого параметра (группы ИК) |
Диапазон измерений |
НИИ |
ВИК |
Пределы допускаемой абсолютной погрешности ИК в условиях эксплуатации 1 2 | |||
|
Тип |
Выходной сигнал (входной сигнал ВИК) |
Пределы допускаемой основной и дополнительной приведенной погрешности 1 |
Состав и выходные сигналы компонентов |
Пределы допускаемой приведенной погрешности 1 в условиях эксплуатации | |||
|
Концентрация борной кислоты в технологических жидкостях |
от 0 до 50 г/дм3 |
НАР-12М-Н |
от 4 до 20 мА |
Аосн = ±0,35 г/дм3 (в D1 от 0 до 12,5 г/дм3), Аосн = ±0,65 г/дм3 (в D2 от 12,5 до 25,0 г/дм ), Аосн = ±1,25 г/дм3 (в D3 от 25,0 до 50,0 г/дм3), Адоп.и.10 = ±(0,1- Аосн) г/дм3 |
=> ТПТС52-2.1722 => цифровой сигнал 12 бит в СВБУ |
Yп.вик = ±0,4 % (Xn = Dик) |
Ап.ик = ±0,55 г/дм3 (в D1), Ап.ик = ±0,85 г/дм3 (в D2), Ап.ик = ±1,45 г/дм3 (в D3) |
|
=> БСА Т => цифровой сигнал 24 бит в СВБУ |
Yп.вик = ±0,1 % (Xn = Dик) |
Ап.ик = ±0,4 г/дм3 (в D1), Ап.ик = ±0,7 г/дм3 (в D2), Ап.ик = ±1,3 г/дм3 (в D3) | |||||
|
от 0 до 20 г/дм3 |
НАР-12М-Тр |
от 4 до 20 мА |
Аосн = ±0,35 г/дм3 (в D1 от 0 до 12,5 г/дм3), Аосн = ±0,65 г/дм (в D2 от 12,5 до 20,0 г/дм3), Адоп.и.10 = ±(0,1' Аосн) г/дм |
=> ТПТС52-2.1722 => цифровой сигнал 12 бит в СВБУ |
Yп.вик = ±0,4 % (Xn = Dик) |
Ап.ик = ±0,45 г/дм3 (в D1), Ап.ик = ±0,75 г/дм3 (в D2) | |
|
=> БСА Т => цифровой сигнал 24 бит в СВБУ |
Yп.вик = ±0,1 % (Xn = Dик) |
Ап.ик = ±0,4 г/дм3 (в D1), Ап.ик = ±0,7 г/дм3 (в D2) | |||||
Примечания
1 Xn - нормирующее значение для приведенной погрешности;
D1, D2 и D3 - соответственно поддиапазоны измерений 1,2 и 3;
Аосн - пределы допускаемой основной абсолютной погрешности НИИ;
Адоп.и.10 - пределы допускаемой дополнительной абсолютной погрешности НИН на каждые 10 °С изменения температуры анализируемой среды от нормальной (25 °С) в пределах условий эксплуатации;
уп.вик - пределы допускаемой приведенной погрешности ВИК в условиях эксплуатации;
Ап.ик - пределы допускаемой абсолютной погрешности ИК в условиях эксплуатации при нормальной температуре анализируемой среды.
2 При отклонении температуры анализируемой среды (T, °C) от нормальной вычисляются пределы допускаемой абсолютной погрешности ИК Аик в условиях эксплуатации по формуле:
Аш.:“—f Ассн + (|Г - 25| ■ 0.01 ■ Досн) + f— ■ Вик)')
1 UL-fl '"I I ’ 100 Jf f
Таблица 5 - Метрологические характеристики ИК температуры технологических жидкостей, газообразных сред и металлов
|
Наименование измеряемого параметра (группы ИК) |
Диапазон измерений 1 |
ПИП |
ВИК |
Границы интервала Аик или пределы Ап.ик допускаемой абсолютной погрешности ИК 2 | ||||
|
Тип 3 |
Выходной сигнал (входной сигнал ВИК) 1 |
Пределы допускаемой погрешности 2 |
Состав и выходные сигналы компонентов |
Границы интервала Авик или пределы Ап.вик, Уп.вик допускаемой погрешности 2 | ||||
|
1 |
2 |
3 |
4 |
5 |
6 |
7 |
8 | |
|
Температура газообразных сред / металлов |
от 0 до 150°С |
ТС с НСХ типа 50М по ГОСТ 6651-2009 (а = 0,00428 °С-1) |
от 50,0 до 82,1 Ом |
Апип = ±(0,3 + + 0,005^Хизм) °C |
=> ТПТС52-2.1731 с модулем ТПТС51-2.1703 => цифровой сигнал 12 бит в СВБУ |
Ап.вик = ±0,6 °C |
Ап.ик = ±(0,9 + + 0,005-Хзм) °C | |
|
=> БСОТС => цифровой сигнал 16 бит в СВБУ |
Ап.вик = ±0,8 °C |
Ап.ик = ±(1,1 + + 0,005-Хзм) °C | ||||||
|
Температура технологических жидкостей / газообразных сред / металлов |
от 0 до 200 °С |
ТС с НСХ типа 50П по ГОСТ 6651-2009 (а = 0,00391 °С-1) |
от 50,00 до 88,52 Ом |
Апип = ±(0,3 + + 0,005^Хизм) °C |
=> ТПТС52-2.1731 с модулем ТПТС51-2.1703 => цифровой сигнал 12 бит в СВБУ |
Ап.вик = ±0,7 °C |
Ап.ик = ±(1,0 + + 0,005-Хзм) °C | |
|
=> БСА ТС => цифровой сигнал 24 бит в СВБУ |
Ап.вик = ±0,5 °C |
Ап.ик = ±(0,8 + + 0,005-Хзм) °C | ||||||
|
=> БСОТС => цифровой сигнал 16 бит в СВБУ |
Ап.вик = ±1,5 °C |
Ап.ик = ±(1,8 + + 0,005-Хзм) °C | ||||||
|
Температура металлов |
от 0 до 150°С |
ТС с НСХ типа 100П по ГОСТ 6651-2009 (а = 0,00391 °С-1) |
от 100,00 до 158,22 Ом |
Апип = ±(0,3 + + 0,005^Хизм) °C |
=> ТПТС52-2.1731 с модулем ТПТС51-2.1703 => цифровой сигнал 12 бит в СВБУ |
Ап.вик = ±0,5 °C |
Ап.ик = ±(0,8 + + 0,005-Хзм) °C | |
|
=> БСА ТС => цифровой сигнал 24 бит в СВБУ |
Ап.вик = ±0,3 °C |
Ап.ик = ±(0,6 + + 0,005-Хзм) °C | ||||||
|
Температура технологических жидкостей / металлов |
от 0 до 150°С |
ТС с НСХ типов 50П, 100П по ГОСТ 6651-2009 (а = 0,00391 °С-1) => РМТ59 |
от 4 до 20 мА |
Апип = ±(0,3 + + 0,005^Хизм) °C, Урмт = ±0,9 % (Xn = Dhk) |
=> ТПТС52-2.1722 => цифровой сигнал 12 бит в СВБУ |
Гп.вик = ±0,4 % (Xn = Dhk) |
=и=. •VI |
Аик = (Ащип)2 И- °C \2 °C +0.96 (ЕшА ■ \ 100 / |
|
1 |
2 |
3 |
4 |
5 |
6 |
7 |
8 | |
|
Температура технологических жидкостей / металлов |
от 0 до 150°С |
ТС с НСХ типов 50П, 100П по ГОСТ 6651-2009 (а = 0,00391 °C1) => РМТ59 |
от 4 до 20 мА |
Апип = ±(0,3 + + 0,005^Хизм) °C, Урмт = ±0,9 % (Xn = d№) |
=> БСОУТ2 => цифровой сигнал 16 бит в СВБУ |
Уп.вик = ±0,3 % (Xn = Dик) |
«I1? и и |
Аик = (Адип)2 + „ (.2 °C +O.SS ' \ 100 / |
|
=> БСА Т => цифровой сигнал 16 бит в СВБУ |
Уп.вик = ±0,1 % (Xn = Dик) |
=ц- |
Аик = (Апип)2 + „ °C C | |||||
|
Температура воздуха в компенсационной коробке |
от 0 до 100 °С |
ТС с НСХ типа 100П по ГОСТ 6651-2009 (а = 0,00391 °С-1) |
от 100,00 до 139,11 Ом |
Апип = ±(0,15 + + 0,002^Хизм) °C |
=> ТПТС52-2.1731 с модулем ТПТС51-2.1703 => цифровой сигнал 12 бит в СВБУ |
Ап.вик = ±0,4 °C |
Ап.ик ±(0,55 + + 0,002^Хизм) °C | |
|
=> БСО10 => цифровой сигнал 16 бит в СВБУ |
Ап.вик = ±1,5 °C |
Ап.ик = ±(1,65 + + 0,002^Хизм) °C | ||||||
|
Температура 4 теплоносителя |
от 0 до 400 °С |
ТП с НСХ типа L по ГОСТ Р 8.5852001 |
от 0,000 до 31,492 мВ |
Апип = ±2,5 °C (в D1 от 0 до 360 °C), Апип = ±(0,7 + + 0,005^Хизм) °C (в D2 от 360 до 400 °C) |
=> ТПТС52-2.1731 с модулем ТПТС51-2.1703 => цифровой сигнал 12 бит в СВБУ |
Ап.вик = ±0,6 °C |
Аик = ±3,5 °C | |
|
=> БСО10 => цифровой сигнал 16 бит в СВБУ |
Ап.вик = ±2,0 °C |
Аик = ±4,5 °C | ||||||
|
=> ТПТС52-2.1731 с модулем ТПТС51-2.1703 => 12 бит => ТПТС52-2.1722 => от 2 до 10 В => Ф1762.5-АД-1 (отображение) |
АВик = ±2,0 °C 5 |
Аик = ±4,0 °C | ||||||
|
=> БСО10 => 16 бит => БВА Н => от 2 до 10 В => Ф 1762.5-АД-1 (отображение) |
АВик = ±2,5 °C 5 |
Аик = ±4,5 °C | ||||||
Примечания
1 Указаны нижняя и верхняя границы возможных диапазонов измерений ИК (соответственно, диапазонов электрического сопротивления на входе ВИК). Диапазон измерений конкретного ИК может отличаться, но должен находиться в указанных границах. Нормирующим значением для расчета приведенной погрешности является фактический диапазон измерений Пик конкретного ИК.
2 Xn - нормирующее значение для приведенной погрешности; Хизм - измеренное значение;
Апип - пределы допускаемой абсолютной погрешности НИИ;
YPMT — пределы допускаемой приведенной погрешности РМТ59 в условиях эксплуатации;
Ап.вик - пределы допускаемой абсолютной погрешности ВИК в условиях эксплуатации;
Уп.вик — пределы допускаемой приведенной погрешности ВИК в условиях эксплуатации;
Авик - границы интервала допускаемой абсолютной погрешности ВИК в условиях эксплуатации (P = 0,95);
Ап.ик - пределы допускаемой абсолютной погрешности ИК в условиях эксплуатации;
Аик - границы интервала допускаемой абсолютной погрешности ИК в условиях эксплуатации (P = 0,95);
Для ВИК и ИК, погрешность которых складывается из двух составляющих, приведены значения Ап.вик и Ап.ик. Для ВИК и ИК, погрешность которых складывается из 3 и более составляющих, приведены значения Авик и Аик, вычисленные с использованием документа МИ 3592-2017 «ГСИ. Методы определения метрологических характеристик средств измерений, применяемых в области использования атомной энергии».
3 В составе ИК температуры могут использоваться термопреобразователи сопротивления и термопары, указанные в перечне НИН, приведенном в разделе «Описание средства измерений».
4 Значения погрешностей ВИК сигналов от ТН указаны без учета погрешности ВИК компенсации температуры холодного спая ТН. Значения погрешностей ИК указаны с учетом погрешности ИК компенсации температуры холодного спая ТН.
5 Для ВИК сигналов от ТН с выходами на вольтметры Ф1762-АД указаны границы интервала допускаемой приведенной погрешности по цифровому отсчёту при отображении значений измеренного параметра в максимальном диапазоне показаний вольтметра по цифровому отсчёту.
Для ВИК сигналов от ТС с перенастроенным диапазоном показаний вольтметра Ф1762-АД по цифровому отсчёту, Авик вычисляется по формуле:
Продолжение таблицы 5
где
^ипь - пределы допускаемой абсолютной погрешности k-го (k = 1...3) измерительного компонента ВИК в условиях эксплуатации, равные ±0,6 °С для ТПТС52-2.1731 с модулем ТПТС51-2.1703, ±1,5 °С для ТПТС52-2.1722, ±2,0 °С для БСО10, ±0,4 °С для БВА Н, Лф1762 для вольтметров Ф1762-АД (цифровой отсчёт).
/ 1,2-4? \
^Ф17Б2 = ± (0,0005 + J ■ %
где
q - значение младшего разряда показаний Ф1762-АД; Nk - верхняя граница Dhk; Nh — нижняя граница Пик.
Таблица 6 - Основные технические характеристики ИС УСБТ
|
Наименование параметра |
Значение |
|
Параметры электрического питания шкафов ВИК ИС УСБТ: - напряжение переменного тока, В - частота переменного тока, Гц |
от 176 до 242 от 49 до 51 |
|
Условия эксплуатации: - температура среды, окружающей ПИП давления, °С - температура окружающей ВИК и ИП среды, °С - относительная влажность (при 25 °С, без конденсации), % - атмосферное давление, кПа |
от +15 до +35 от +20 до +25 от 30 до 75 от 84,0 до 106,7 |
|
Примечание - условия эксплуатации НАР-12М, ТТ, ТН, ТП и ТС приведены в описаниях типа на указанные ПИП. | |
Знак утверждения типа
наносится печатным способом на титульные листы документов ИЭ.3.27.149 «Инструкция по эксплуатации. Второй, третий каналы управляющих систем безопасности по технологическим параметрам на базе программно-технических средств» и ИЭ.3.27.79 «Инструкция по эксплуатации. Первый канал управляющей системы безопасности по технологическим параметрам на базе комплекса технических средств непрограммируемой логики».
Комплектность
Таблица 7 - Комплектность ИС УСБТ
|
Наименование |
Обозначение |
Количество |
|
Система измерительная в составе управляющей системы безопасности по технологическим параметрам (ИС УСБТ) энергоблока № 3 Ростовской АЭС |
- |
1 шт. |
|
Комплект ЗИП |
- |
1 шт. |
|
Инструкция по эксплуатации |
ИЭ.3.27.149 |
1 шт. |
|
Инструкция по эксплуатации |
ИЭ.3.27.79 | |
|
Методика поверки |
МП 58418-14 с изменением № 1 |
1 экз. |
Поверка
осуществляется по документу МП 58418-14 «Система измерительная в составе управляющей системы безопасности по технологическим параметрам (ИС УСБТ) энергоблока № 3 Ростовской АЭС. Методика поверки» с изменением № 1, утвержденному ФГУП «ВНИИМС» 27.12.2019 г.
Основные средства поверки:
- средства поверки в соответствии с нормативными документами на поверку ПИП, входящих в состав ИС УСБТ;
- калибратор-измеритель унифицированных сигналов эталонный ИКСУ-2000,
рег. № 20580-06;
- магазин сопротивлений Р4831-М1, рег. № 48930-12.
Допускается применение аналогичных средств поверки, обеспечивающих определение метрологических характеристик поверяемой ИС УСБТ с требуемой точностью.
Знак поверки наносится на свидетельство о поверке.
Сведения о методах измерений
отсутствуют.
Нормативные документы
ГОСТ Р 8.596-2002 ГСИ. Метрологическое обеспечение измерительных систем.
Основные положения
ГОСТ Р 8.565-2014 Государственная система обеспечения единства измерений. (ГСИ)
Метрологическое обеспечение атомных станций. Основные положения
Смотрите также

